精英家教网 > 高中数学 > 题目详情

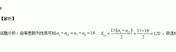
已知等差数列中,,其前项和为,则( )

A、 B、 C、 D、不确定

练习册系列答案
相关习题

科目:高中数学 来源:2015-2016学年广东省佛山市高一上学期期中数学试卷(解析版) 题型:选择题

函数的定义域是 ( )

A. B. C. D.

查看答案和解析>>

科目:高中数学 来源:2016届山东省高三第二次诊断性考试理科数学试卷(解析版) 题型:填空题

对于函数,现给出四个命题:

时,为奇函数;

的图象关于对称;

时,方程有且只有一个实数根;

④方程至多有两个实数根

其中正确命题的序号为

查看答案和解析>>

科目:高中数学 来源:2015-2016学年浙江省宁波市高一上期中数学试卷(解析版) 题型:选择题

,则下列不等式成立的是( )

A. B. C. D.

查看答案和解析>>

科目:高中数学 来源:2015-2016学年四川绵阳南山中学高二上期中理科数学试卷(解析版) 题型:填空题

给出下列命题:①直线的倾斜角是;②已知过抛物线的焦点的直线与抛物线交于两点,则有;③已知为双曲线的左、右焦点,点为双曲线右支上异于顶点的任意一点,则的内心始终在一条直线上.其中所有正确命题的序号为 .

查看答案和解析>>

科目:高中数学 来源:2015-2016学年湖北省高二上期中文科数学试卷(解析版) 题型:选择题

已知命题p:|x-1|≥2,命题q:x∈Z,若“p且q”与“非q”同时为假命题,则满足条件的x为( )

A.{x|x≥3或x≤-1,x∈Z} B.{x|-1≤x≤3, x∈Z}

C.{0,1,2} D.{-1,0,1,2,3}

查看答案和解析>>

科目:高中数学 来源:2015-2016学年福建省师大附高二上期中理科数学试卷(解析版) 题型:解答题

(本小题满分12分)

某企业为解决困难职工的住房问题,决定分批建设保障性住房供给困难职工,首批计划用100万元购买一块土地,该土地可以建造每层1000平方米的楼房一幢,楼房的每平方米建筑费用与建筑高度有关,楼房每升高一层,整层楼每平方米建筑费用提高20元,已知建筑第1层楼房时,每平方米的建筑费用为920元.为了使该幢楼房每平方米的平均费用最低(费用包括建筑费用和购地费用),应把楼房建成几层?此时平均费用为每平方米多少万元?

查看答案和解析>>

科目:高中数学 来源:2015-2016学年江苏省泰兴市高二上学期期中考试数学试卷(解析版) 题型:解答题

(本小题满分16分)已知函数

(Ⅰ)当时,求曲线在点处的切线方程;

(Ⅱ)若函数在区间上的最小值为0,求的值;

(Ⅲ)若对于任意恒成立,求的取值范围.

查看答案和解析>>

科目:高中数学 来源:2015-2016学年甘肃省定西市高一上学期第一次月考数学试卷(解析版) 题型:选择题

已知集合,则( )

A.21 B.19 C.16 D.27

查看答案和解析>>

同步练习册答案