精英家教网 > 高中数学 > 题目详情

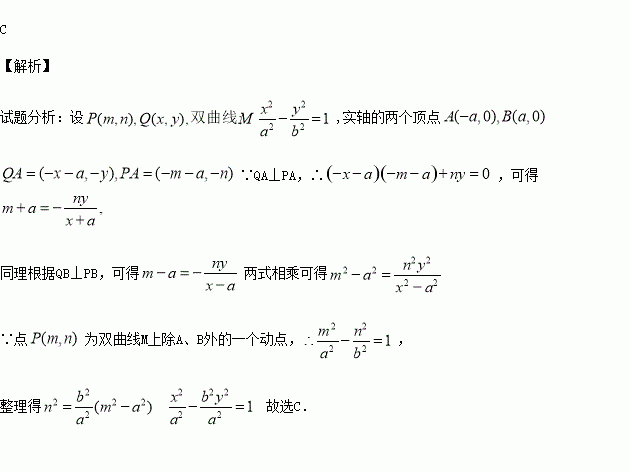
双曲线实轴的两个顶点为,点为双曲线上除外的一个动点,若,则动点的运动轨迹为( )

A.圆 B.椭圆 C.双曲线 D.抛物线

练习册系列答案
相关习题

科目:高中数学 来源:2015-2016学年福建省高二下期中理科数学B卷(解析版) 题型:选择题

现有5人参加抽奖活动,每人依次从装有5张奖票(其中3张为中奖票)的箱子中不放回地随机抽取一张,直到3张中奖票都被抽出时活动结束,则活动恰好在第4人抽完后结束的概率为( )

A. B. C. D.

查看答案和解析>>

科目:高中数学 来源:2015-2016学年辽宁鞍山一中等校高二下期末理科数学试卷(解析版) 题型:填空题

若函数的图象关于直线对称,则的最小值是 .

查看答案和解析>>

科目:高中数学 来源:2017届广州省惠州市高三第一次调研理科数学试卷(解析版) 题型:解答题

【选修4-4:极坐标和参数方程】

在直角坐标系中,直线的倾斜角为且经过点.以原点为极点,以轴非负半轴为极轴,与直角坐标系取相同的长度单位,建立极坐标系.设曲线的极坐标方程为

(Ⅰ)若直线与曲线有公共点,求的取值范围;

(Ⅱ)设为曲线上任意一点,求的取值范围.

查看答案和解析>>

科目:高中数学 来源:2017届广州省惠州市高三第一次调研理科数学试卷(解析版) 题型:填空题

已知数列满足,则______.

查看答案和解析>>

科目:高中数学 来源:2017届广州省惠州市高三第一次调研理科数学试卷(解析版) 题型:选择题

执行如图的程序框图,则输出的值为( )

A.2 B. C. D.

查看答案和解析>>

科目:高中数学 来源:2017届湖南师大附中高三上入学摸底文科数学试卷(解析版) 题型:解答题

选修4-4:坐标系与参数方程选讲.

在直角坐标系xOy中,曲线C1的参数方程为(α是参数),以原点O为极点,x轴正半轴为极轴建立极坐标系,曲线C2的极坐标方程为ρ=.

(1)求曲线C1的普通方程和曲线C2的直角坐标方程;

(2)求曲线C1上的任意一点P到曲线C2的最小距离,并求出此时点P的坐标.

查看答案和解析>>

科目:高中数学 来源:2017届湖南师大附中高三上入学摸底文科数学试卷(解析版) 题型:选择题

要得到函数y=cos的图象,只需将函数y=sin的图象

A.向左平移个单位 B.向右平移个单位

C.向左平移个单位 D.向右平移个单位

查看答案和解析>>

科目:高中数学 来源:2015-2016学年河北省高二下期中文科数学试卷(解析版) 题型:选择题

点P(x,y)在椭圆上,则x+y的最大值为 ( )

A. B. C.5 D.6

查看答案和解析>>

同步练习册答案