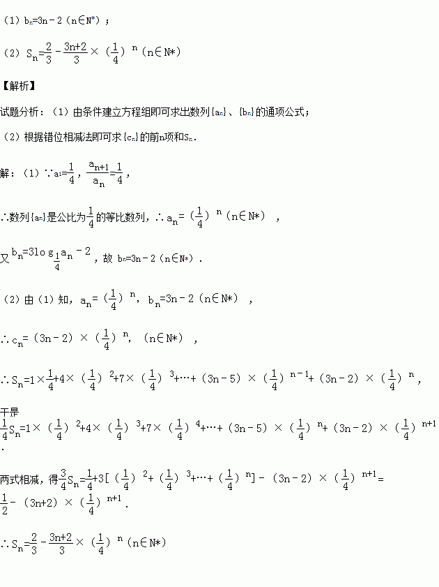
(2014•香洲区校级模拟)在数列{an}中,已知a1=
,
,bn+2=3
an(n∈N*).
(1)求数列{an}、{bn}的通项公式;
(2)设数列{cn}满足cn=an•bn,求{cn}的前n项和Sn.
科目:高中数学 来源:2016届山东省高三上第二次诊考文科数学试卷(解析版) 题型:解答题
(2010秋•滁州校级期末)已知f(x)=xlnx,g(x)=x3+ax2﹣x+2.
(1)求函数f(x)的单调区间;
(2)对任意x∈(0,+∞),2f(x)≤g′(x)+2恒成立,求实数a的取值范围.
查看答案和解析>>
科目:高中数学 来源:2016届河北省高三上学期周日测试理科数学试卷(解析版) 题型:解答题
现对某市工薪阶层关于“楼市限购令”的态度进行调查,随机抽调了
人,他们月收入的频数分布及对“楼市限购令”赞成人数如下表.
月收入(单位百元) |
|
|
|
|
|
|
频数 |
|
|
|
|
|
|
赞成人数 |
|
|
|
|
|
|
(I)由以上统计数据填下面
列联表并问是否有
%的把握认为“月收入以
为分界点”对“楼市限购令”的态度有差异;
月收入低于 | 月收入低于 | 合计 | |
赞成 |
|
| |
不赞成 |
|
| |
合计 |
(II)若对月收入在
,
的被调查人中各随机选取两人进行追踪调查,记选中的
人中不赞成“楼市限购令”人数为
,求随机变量
的分布列及数学期望.
参考数据:
|
|
|
|
|
|
|
|
![]()
查看答案和解析>>
科目:高中数学 来源:2016届黑龙江省高三12月考文科数学试卷(解析版) 题型:解答题
选修4—4:坐标系与参数方程
平面直角坐标系中,直线
的参数方程是
(
为参数),以坐标原点为极点,
轴的正半轴为极轴,建立极坐标系,已知曲线
的极坐标方程为![]()
.
(Ⅰ)求直线
的极坐标方程;
(Ⅱ)若直线
与曲线
相交于
、
两点,求
.
查看答案和解析>>
科目:高中数学 来源:2016届云南省玉溪市高三第四次月考文科数学试卷(解析版) 题型:解答题
已知中心在原点
,焦点在
轴上的椭圆,离心率
,且椭圆过点
.
(Ⅰ)求椭圆的方程;
(Ⅱ)椭圆左,右焦点分别为
,过
的直线
与椭圆交于不同的两点
,则△
的内切圆的面积是否存在最大值?若存在,求出这个最大值及此时的直线方程;若不存在,请说明理由.
查看答案和解析>>
科目:高中数学 来源:2015-2016学年云南省昭通市高二上12月月考理科数学卷(解析版) 题型:选择题
(2015秋•水富县校级月考)在等差数列{an}中,a3=5,a10=19,则a51的值为( )
A.99 B.49 C.101 D.102
查看答案和解析>>
科目:高中数学 来源:2015-2016学年云南省高一上10月月考数学试卷(解析版) 题型:解答题
(2015秋•红河州校级月考)已知函数f(x)=2+x,其中1≤x≤9,求函数y=[f(x)]2+f(x)的最大值和最小值,并求出相应x的值.
查看答案和解析>>
科目:高中数学 来源:2015-2016学年辽宁省高二上10月月考文科数学试卷(解析版) 题型:填空题
(2015秋•沈阳校级月考)已知样本数据x1,x2,…,xn的方差为5,则样本数据2x1+1,2x2+1,…,2xn+1的方差为 .
查看答案和解析>>
科目:高中数学 来源:2015-2016学年河南省高二上12月月考文科数学试卷(解析版) 题型:选择题
(2013•杭州模拟)若直线ax﹣by+2=0(a>0,b>0)被圆x2+y2+2x﹣4y+1=0截得的弦长为4,则
的最小值为( )
A.
B.
C.
+
D.
+2![]()
查看答案和解析>>
湖北省互联网违法和不良信息举报平台 | 网上有害信息举报专区 | 电信诈骗举报专区 | 涉历史虚无主义有害信息举报专区 | 涉企侵权举报专区
违法和不良信息举报电话:027-86699610 举报邮箱:58377363@163.com