精英家教网 > 高中数学 > 题目详情

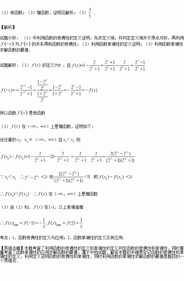
已知函数

(1)证明是奇函数;

(2)判断的单调性,并用定义证明;

(3)求在[-1,2] 上的最值.

练习册系列答案
相关习题

科目:高中数学 来源:2015-2016学年贵州省凯里市高二上期末理科数学试卷(解析版) 题型:选择题

已知集合.则命题:“若,则”的逆命题是( )

A.若 B.若

C.若 D.若

查看答案和解析>>

科目:高中数学 来源:2015-2016学年山西省临汾市高一12月月考数学试卷(解析版) 题型:解答题

已知函数有如下性质:如果常数,那么该函数在上是减函数,在上是增函数.

(1)已知,利用上述性质,求函数的单调区间和值域;

(2)对于(1)中的函数和函数,若对任意∈[0,1],总存在∈[0,1],使得=成立,求实数的值.

查看答案和解析>>

科目:高中数学 来源:2015-2016学年辽宁省高二12月月考理科数学卷(解析版) 题型:解答题

已知椭圆的离心率为,短轴端点到焦点的距离为2.

(1)求椭圆的方程;

(2)设点是椭圆上的任意两点, 是坐标原点,且

①求证:原点到直线的距离为定值,并求出该定值;

②任取以椭圆的长轴为直径的圆上一点,求面积的最大值.

查看答案和解析>>

科目:高中数学 来源:2015-2016学年吉林省高二上期中文科数学试卷(解析版) 题型:解答题

已知的三个顶点的坐标为

(1)求边上的高所在直线的方程;

(2)若直线平行,且在轴上的截距比在轴上的截距大1,求直线与两条坐标轴围成的三角形的周长.

查看答案和解析>>

科目:高中数学 来源:2015-2016学年宁夏石嘴山三中高二上期中文科数学试卷(解析版) 题型:解答题

已知关于的一次函数

(1)设集合,分别从集合中随机取一个数作为,求函数

是增函数的概率;

(2)若实数满足条件,求函数的图象不经过第四象限的概率.

查看答案和解析>>

科目:高中数学 来源:2015-2016学年宁夏石嘴山三中高二上期中理科数学试卷(解析版) 题型:填空题

某工厂为了对新研发的一种产品进行合理定价,将该产品按事先拟定的价格进行试销,得到如右数据:

单价(元)

8

8.2

8.4

8.6

8.8

9

销量(件)

90

84

83

80

75

68

由表中数据,求得线性回归方程为.若在这些样本点中任取一点,则它在回归直线左下方

的概率为_______.

查看答案和解析>>

科目:高中数学 来源:2015-2016学年江西省高一上第三次考试数学试卷(解析版) 题型:解答题

已知,求值:

(1)

(2)

查看答案和解析>>

科目:高中数学 来源:2015-2016学年福建省四地六校高二上学期11月月考文科数学试卷(解析版) 题型:解答题

某校从参加高三模拟考试的学生中随机抽取60名学生,将其数学成绩(均为整数)分成六组[90,100),[100,110),…,[140,150]后得到如下部分频率分布直方图,观察图形的信息,回答下列问题:

(1)求分数在[120,130)内的频率;

(2)若在同一组数据中,将该组区间的中点值(如:区间[100,110)的中点值为=105)作为这组数据的平均分,据此,估计本次考试的平均分;

(3)用分层抽样的方法在分数段为[110,130)的学生中抽取一个容量为6的样本,将该样本看成一个总体,从中任取2人,求至多有1人在分数段[120,130)内的概率.

查看答案和解析>>

同步练习册答案