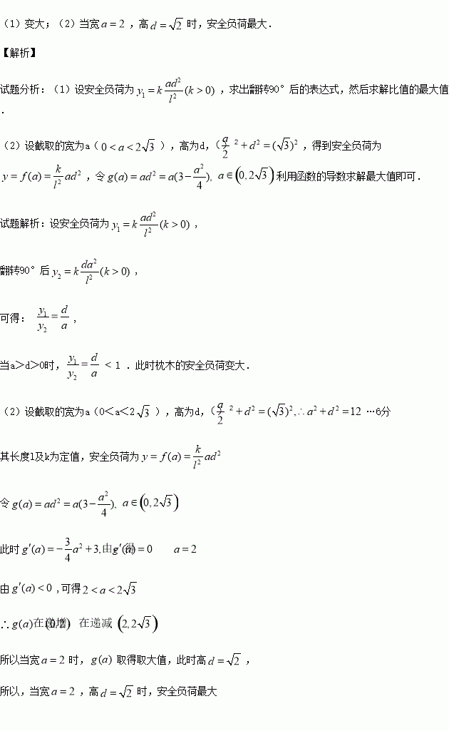
£¨±¾Ð¡ÌâÂú·Ö12·Ö£©ÈçͼËùʾ£¬Ò»¸ùˮƽ·ÅÖõij¤·½ÌåÕíľµÄ°²È«¸ººÉÓëËüµÄºñ¶ÈdµÄƽ·½ºÍ¿í¶ÈaµÄ³Ë»ý³ÉÕý±È£¬Í¬Ê±ÓëËüµÄ³¤¶È
µÄƽ·½³É·´±È£®
![]()
£¨1£©ÔÚa£¾d£¾0µÄÌõ¼þÏ£¬½«´ËÕíľ·×ª90¡ã£¨¼´¿í¶È±äΪÁ˺ñ¶È£©£¬ÕíľµÄ°²È«¸ººÉ»á·¢Éú±ä»¯Â𣿱ä´ó»¹ÊDZäС£¿
£¨2£©ÏÖÓÐÒ»¸ùºá½ØÃæÎª°ëÔ²£¨°ëÔ²µÄ°ë¾¶ÎªR=
£©µÄÖùÐÎľ²Ä£¬ÓÃËü½ØÈ¡³Éºá½ØÃæÎª³¤·½ÐεÄÕíľ£¬Æä³¤¶È¼´ÎªÕíľ¹æ¶¨µÄ³¤¶Èl£¬ÎÊºá½ØÃæÈçºÎ½ØÈ¡£¬¿Éʹ°²È«¸ººÉ×î´ó£¿
| Äê¼¶ | ¸ßÖÐ¿Î³Ì | Äê¼¶ | ³õÖÐ¿Î³Ì |
| ¸ßÒ» | ¸ßÒ»Ãâ·Ñ¿Î³ÌÍÆ¼ö£¡ | ³õÒ» | ³õÒ»Ãâ·Ñ¿Î³ÌÍÆ¼ö£¡ |
| ¸ß¶þ | ¸ß¶þÃâ·Ñ¿Î³ÌÍÆ¼ö£¡ | ³õ¶þ | ³õ¶þÃâ·Ñ¿Î³ÌÍÆ¼ö£¡ |
| ¸ßÈý | ¸ßÈýÃâ·Ñ¿Î³ÌÍÆ¼ö£¡ | ³õÈý | ³õÈýÃâ·Ñ¿Î³ÌÍÆ¼ö£¡ |
¿ÆÄ¿£º¸ßÖÐÊýѧ À´Ô´£º2014-2015ѧÄê¶«±±ÈýÊ¡µÈÈýУ¸ßÈýµÚÒ»´ÎÄ£ÄâÎÄ¿ÆÊýѧÊÔ¾í£¨½âÎö°æ£© ÌâÐÍ£ºÌî¿ÕÌâ
ÈôµÈ²îÊýÁÐ
ÖУ¬Âú×ã
£¬Ôò
£®
²é¿´´ð°¸ºÍ½âÎö>>
¿ÆÄ¿£º¸ßÖÐÊýѧ À´Ô´£º2014-2015ѧÄêºþ±±Ê¡Ò˲ýÊи߶þÏÂѧÆÚÆÚÄ©ÎÄ¿ÆÊýѧÊÔ¾í£¨½âÎö°æ£© ÌâÐÍ£ºÑ¡ÔñÌâ
ÈçͼËùʾµÄ³ÌÐò¿òͼµÄ¹¦ÄÜÊÇÇó
µÄÖµ£¬Ôò¿òͼÖеĢ١¢¢ÚÁ½´¦Ó¦·Ö±ðÌîд£¨ £©
![]()
A£®
B£®![]()
C£®
D£®![]()
²é¿´´ð°¸ºÍ½âÎö>>
¿ÆÄ¿£º¸ßÖÐÊýѧ À´Ô´£º2016½ìÖØÇìÊиßÈý10ÔÂÔ¿¼ÎÄ¿ÆÊýѧÊÔ¾í£¨½âÎö°æ£© ÌâÐÍ£ºÑ¡ÔñÌâ
ÏÂÁк¯ÊýÖУ¬¼ÈÊÇÆæº¯ÊýÓÖÊÇÖÜÆÚΪ¦ÐµÄÖÜÆÚº¯ÊýµÄÊÇ£¨ £©
A¡¢y=|tanx| B¡¢y=sin£¨2x+
£©
C¡¢y=cos2x D¡¢y= sinxcosx
²é¿´´ð°¸ºÍ½âÎö>>
¿ÆÄ¿£º¸ßÖÐÊýѧ À´Ô´£º2016½ìɽ¶«Ê¡¸ßÈýÉÏѧÆÚ¿ªÑ§¿¼ÊÔÎÄ¿ÆÊýѧÊÔ¾í£¨½âÎö°æ£© ÌâÐÍ£º½â´ðÌâ
£¨±¾Ð¡ÌâÂú·Ö12·Ö£©ÒÑÖª¼¯ºÏ
£®
£¨¢ñ£©·Ö±ðÇó
£»
£¨¢ò£©ÒÑÖª
Èô
£¬ÇóʵÊý
µÄȡֵ·¶Î§£®
²é¿´´ð°¸ºÍ½âÎö>>
¿ÆÄ¿£º¸ßÖÐÊýѧ À´Ô´£º2016½ìÄþÏÄÒø´¨ÊиßÈýÉÏѧÆÚͳÁ·¶þÎÄ¿ÆÊýѧÊÔ¾í£¨½âÎö°æ£© ÌâÐÍ£º½â´ðÌâ
£¨±¾ÌâÂú·Ö10·Ö£©£®Ñ¡ÐÞ4-5£º²»µÈʽѡ½²
ÒÑÖªa£¬b£¬c¡ÊR+£¬ÇóÖ¤£º
£¨1£©£¨ab+a+b+1£©£¨ab+ac+bc+c2£©¡Ý16abc£»
£¨2£©![]()
²é¿´´ð°¸ºÍ½âÎö>>
¿ÆÄ¿£º¸ßÖÐÊýѧ À´Ô´£º2016½ìÄþÏÄÒø´¨ÊиßÈýÉÏѧÆÚͳÁ·¶þÀí¿ÆÊýѧÊÔ¾í£¨½âÎö°æ£© ÌâÐÍ£º½â´ðÌâ
£¨±¾ÌâÂú·Ö12·Ö£©Èçͼ£¬ÔÚ
ÖУ¬
±ßÉϵÄÖÐÏß
³¤Îª3£¬ÇÒ
£¬
£®
![]()
£¨1£©Çó
掙术
£¨2£©Çó
±ßµÄ³¤£®
²é¿´´ð°¸ºÍ½âÎö>>
¿ÆÄ¿£º¸ßÖÐÊýѧ À´Ô´£º2016½ì¼ªÁÖÊ¡¸ßÈýÉÏѧÆÚµÚÒ»´ÎÄ£ÄâÀí¿ÆÊýѧÊÔ¾í£¨½âÎö°æ£© ÌâÐÍ£º½â´ðÌâ
£¨±¾Ð¡ÌâÂú·Ö12·Ö£©ÒÑÖªº¯Êý
£®
£¨1£©µ±
ʱ£¬Çóº¯Êý
µÄµ¥µ÷ÔöÇø¼ä£»
£¨2£©Èôº¯Êý
ÔÚ
ÉϵÄ×îСֵΪ
£¬ÇóʵÊý
掙术
£¨3£©Èôº¯Êý
ÔÚ
ÉϺã³ÉÁ¢£¬ÇóʵÊý
µÄȡֵ·¶Î§£®
²é¿´´ð°¸ºÍ½âÎö>>
¿ÆÄ¿£º¸ßÖÐÊýѧ À´Ô´£º2016½ìºÓ±±Ê¡¸ßÈýÉϵڶþ´ÎÔ¿¼ÎÄ¿ÆÊýѧÊÔ¾íA£¨½âÎö°æ£© ÌâÐÍ£ºÑ¡ÔñÌâ
º¯Êýf£¨x£©=2sin£¨¦Øx+¦Õ£©£¨¦Ø>0£¬-
<¦Õ<
£©µÄͼÏóÈçͼËùʾ£¬Ôò
¡¤
=£¨ £©
![]()
A£®8 B£®-8 C£®
-8 D£®-
+8
²é¿´´ð°¸ºÍ½âÎö>>
¹ú¼ÊѧУÓÅÑ¡ - Á·Ï°²áÁбí - ÊÔÌâÁбí
ºþ±±Ê¡»¥ÁªÍøÎ¥·¨ºÍ²»Á¼ÐÅÏ¢¾Ù±¨Æ½Ì¨ | ÍøÉÏÓк¦ÐÅÏ¢¾Ù±¨×¨Çø | µçÐÅթƾٱ¨×¨Çø | ÉæÀúÊ·ÐéÎÞÖ÷ÒåÓк¦ÐÅÏ¢¾Ù±¨×¨Çø | ÉæÆóÇÖȨ¾Ù±¨×¨Çø
Î¥·¨ºÍ²»Á¼ÐÅÏ¢¾Ù±¨µç»°£º027-86699610 ¾Ù±¨ÓÊÏ䣺58377363@163.com