精英家教网 > 高中数学 > 题目详情

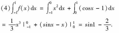
求下列定积分:

  

练习册系列答案
相关习题

科目:高中数学 来源: 题型:


若函数f(x)=x2bxc的图像的顶点在第二象限,则函数f ′(x)的图像是(  )

查看答案和解析>>

科目:高中数学 来源: 题型:


已知函数f(x)=xalnx(a∈R).

(1)当a=2时,求曲线yf(x)在点A(1,f(1))处的切线方程;

(2)求函数f(x)的极值.

查看答案和解析>>

科目:高中数学 来源: 题型:


某村庄似修建一个无盖的圆柱形蓄水池(不计厚度).设该蓄水池的底面半径为r米,高为h米,体积为V平方米.假设建造成本仅与表面积有关,侧面的建造成本为100元/平方米,底面的建造成本为160元/平方米,该蓄水池的总建造成本为12 000π元(π为圆周率).

(1)将V表示成r的函数V(r),并求该函数的定义域;

(2)讨论函数V(r)的单调性,并确定rh为何值时该蓄水池的体积最大.

查看答案和解析>>

科目:高中数学 来源: 题型:


|x+2|dx=________.

查看答案和解析>>

科目:高中数学 来源: 题型:


P(tan2 015°,cos2 015°)位于(  )

A.第一象限                                                 B.第二象限

C.第三象限                                                 D.第四象限

查看答案和解析>>

科目:高中数学 来源: 题型:


已知α的顶点在原点,始边与x轴非负半轴重合,点P(-4m,3m)(m>0)是α终边上一点,则2sinα+cosα=________.

查看答案和解析>>

科目:高中数学 来源: 题型:


如果sinα,且α为第二象限角,则sin(α)=________.

查看答案和解析>>

科目:高中数学 来源: 题型:


θ为第二象限角,若tan(θ)=,则sinθ+cosθ=________.

查看答案和解析>>

同步练习册答案