精英家教网 > 高中数学 > 题目详情

直线ly(x-2)和双曲线C=1(a>0,b>0)交于AB两点,且|AB|=,又l关于直线l1yx对称的直线l2x轴平行.

(1)求双曲线C的离心率;

(2)求双曲线C的方程.


解 

(1)设双曲线C=1过一、三象限的渐近线l1=0的倾斜角为α.

因为ll2关于l1对称,记它们的交点为P.

l2x轴平行,记l2y轴的交点为Q.

依题意有∠QPO=∠POM=∠OPMα.

ly(x-2)的倾斜角为60°,则2α=60°,α=30°.

所以tan30°=.

于是e2=1+=1+.所以e.

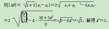
(2)由,可设双曲线方程为=1,即x2-3y2=3k2.

y(x-2)代入x2-3y2=3k2

x2-3·3(x-2)2=3k2.

化简得8x2-36x+36+3k2=0,则x1x2x1x2.

A(x1y1),B(x2y2),

故所求双曲线C的方程为y2=1.


练习册系列答案
相关习题

科目:高中数学 来源: 题型:


l1x+(1+m)y+(m-2)=0,l2mx+2y+6=0的图象是两条平行直线,则m的值是(  )

A.m=1或m=-2                        B.m=1

C.m=-2                               D.m的值不存在

查看答案和解析>>

科目:高中数学 来源: 题型:


已知点A(-3,0),B(3,0),动点P满足|PA|=2|PB|.

(1)若点P的轨迹为曲线C,求此曲线的方程;

(2)若点Q在直线l1xy+3=0上,直线l2经过点Q且与曲线C只有一个公共点M,求|QM|的最小值.

查看答案和解析>>

科目:高中数学 来源: 题型:


F1(-1,0),F2(1,0)为焦点且与直线xy+3=0有公共点的椭圆中,离心率最大的椭圆方程是(  )

A.=1                          B.=1

C.=1                          D.=1

查看答案和解析>>

科目:高中数学 来源: 题型:


过双曲线C=1的右顶点作x轴的垂线,与C的一条渐近线相交于点A,若以C的右焦点为圆心,半径为4的圆经过AO两点(O为坐标原点),则双曲线C的方程为(  )

A.=1                          B.=1

C.=1                          D.=1

查看答案和解析>>

科目:高中数学 来源: 题型:


已知双曲线E=1(a>0,b>0)的两条渐近线分别为l1y=2xl2y=-2x.

(1)求双曲线E的离心率.

(2)如图,O为坐标原点,动直线l分别交直线l1l2AB两点(AB分别在第一、四象限),且△OAB的面积恒为8.试探究:是否存在总与直线l有且只有一个公共点的双曲线E?若存在,求出双曲线E的方程;若不存在,说明理由.

查看答案和解析>>

科目:高中数学 来源: 题型:


若点P到直线y=-1的距离比它到点(0,3)的距离小2,则点P的轨迹方程是________.

 

查看答案和解析>>

科目:高中数学 来源: 题型:


已知两定点A(-1,0),B(2,0),动点P满足,则P点的轨迹方程是__________.

 

查看答案和解析>>

科目:高中数学 来源: 题型:


对一个容量为N的总体抽取容量为n的样本,当选取简单随机抽样、系统抽样和分层抽样三种不同方法抽取样本时,总体中每个个体被抽中的概率分别为p1p2p3,则(  )

A.p1p2<p3                             B.p2p3<p1

C.p1p3<p2                             D.p1p2p3

 

查看答案和解析>>

同步练习册答案