精英家教网 > 高中数学 > 题目详情

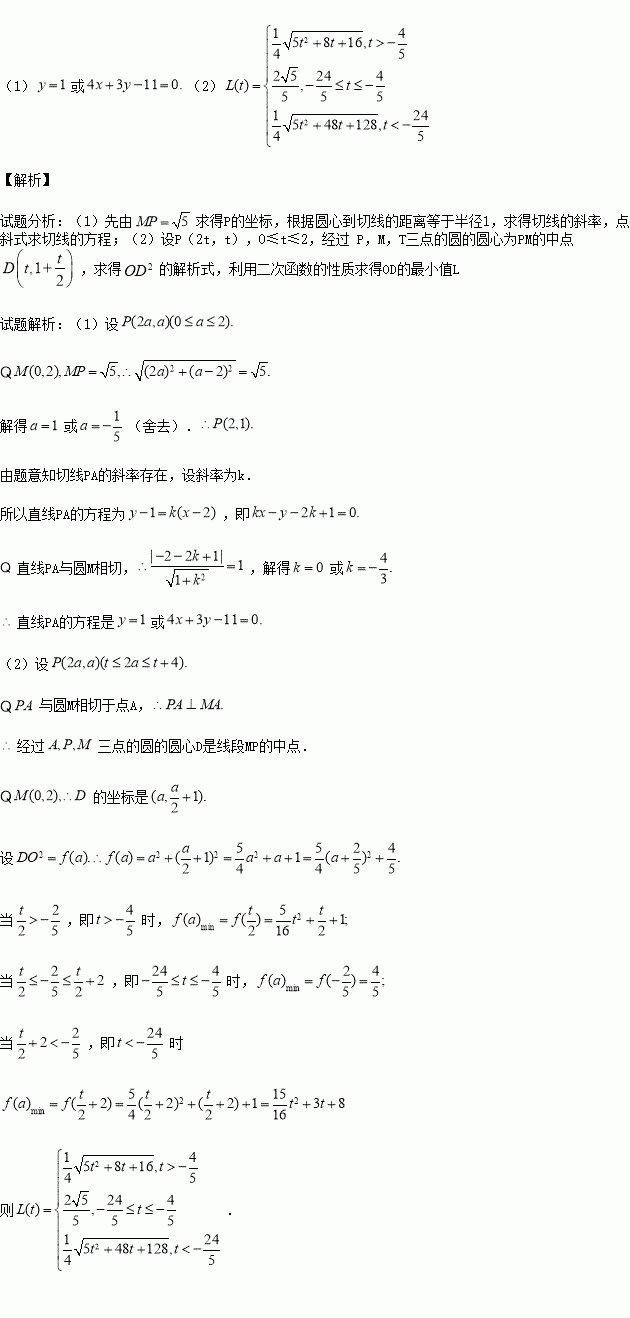
已知圆,设点是直线上的两点,它们的横坐标分别是,点在线段上,过点作圆的切线,切点为

(1)若,求直线的方程;

(2)若O为原点,经过三点的圆的圆心是,求线段长的最小值

练习册系列答案
相关习题

科目:高中数学 来源:2015-2016学年广西武鸣县高中高二上段考文科数学试卷(解析版) 题型:选择题

某班级有名学生,其中有名男生和名女生,随机询问了该班五名男生和五名女生在某次数学测验中的成绩,五名男生的成绩分别为,五名女生的成绩分别为,下列说法一定正确的是( )

A.这种抽样方法是一种分层抽样

B.这种抽样方法是一种系统抽样

C.这五名男生成绩的方差大于这五名女生成绩的方差

D.该班级男生成绩的平均数小于该班女生成绩的平均数

查看答案和解析>>

科目:高中数学 来源:2015-2016学年云南省蒙自市高二10月月考文科数学试卷(解析版) 题型:选择题

设向量,,若向量平行,则

A. B. C. D.

查看答案和解析>>

科目:高中数学 来源:2015-2016学年四川省雅安市高二11月月考理科数学试卷(解析版) 题型:选择题

下列结论正确的是( )

A.当时,

B.当时,

C.当时,的最小值为2

D.当时,无最大值

查看答案和解析>>

科目:高中数学 来源:2015-2016学年浙江省金兰教育合作组织高一上学期期中联考数学试卷(解析版) 题型:解答题

有甲、乙两种商品,经营销售这两种商品所能获得的利润依次是(万元)和(万元),它们与投入资金(万元)的关系有经验公式:.今有万元资金投入经营甲、乙两种商品,为获得最大利润,对甲、乙两种商品的资金投入分别应为多少?能获得最大利润是多少?

查看答案和解析>>

科目:高中数学 来源:2015-2016学年江苏省南通市高二上第一阶段考试数学试卷(解析版) 题型:解答题

已知方程x 2+y 2-2x-4y+m=0.

(1)若此方程表示圆,求m的取值范围;

(2)若(1)中的圆与直线x+2y-4=0相交于M,N两点,且 (其中O为坐标原点)求m的值;

(3)在(2)的条件下,求以MN为直径的圆的方程.

查看答案和解析>>

科目:高中数学 来源:2015-2016学年江苏省南通市高一上第一阶段考试数学试卷(解析版) 题型:填空题

若集合,且,则实数的值为__ ___.

查看答案和解析>>

科目:高中数学 来源:2016届云南师范大学附属中学高三月考四理科数学试卷(解析版) 题型:填空题

设函数是定义在R上的周期为3的偶函数,当时,,则 .

查看答案和解析>>

科目:高中数学 来源:2016届上海市七校高三上12月联考文科数学试卷(解析版) 题型:填空题

(2015秋•上海月考)设[x]表示不超过x的最大整数,若[π]=3,[﹣1.2]=﹣2.给出下列命题:

①对任意的实数x,都有x﹣1<[x]≤x.

②对任意的实数x、y,都有[x+y]≥[x]+[y].

③[lg1]+[lg2]+[lg3]+…+[lg2014]+[lg2015]=4940.

④若函数f(x)=[x[x]],当x∈[0,n)(n∈N*)时,令f(x)的值域为A,记集合A中元素个数为an,则的最小值为,其中所有真命题的序号为

查看答案和解析>>

同步练习册答案