精英家教网 > 高中数学 > 题目详情

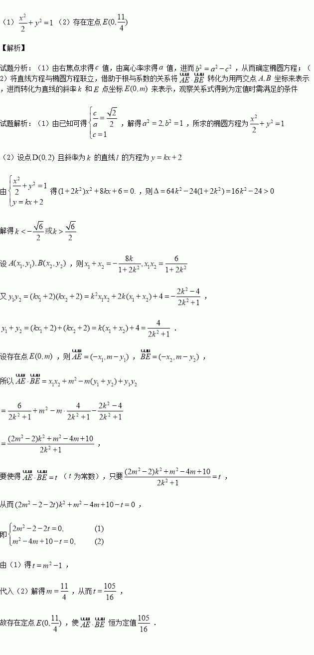
已知椭圆:的离心率为,左焦点为,过点且斜率为的直线交椭圆于两点.

(1)求椭圆的标准方程;

(2)在轴上,是否存在定点,使恒为定值?若存在,求出点的坐标和这个定值;若不存在,说明理由.

练习册系列答案
相关习题

科目:高中数学 来源:2015-2016学年江西省抚州市高二3月月考理科数学试卷(解析版) 题型:选择题

使函数为奇函数,且在上是减函数的的一个值是( )

A. B. C. D.

查看答案和解析>>

科目:高中数学 来源:2015-2016学年广东省高二下第一次月考理科数学试卷(解析版) 题型:选择题

将函数图象向左平移个单位,所得函数图象的一条对称轴的方程是( )

A. B. C. D.

查看答案和解析>>

科目:高中数学 来源:2015-2016学年福建省四地六校高二下学期第一次联考文科数学试卷(解析版) 题型:选择题

已知关于的方程有实根,则实数满足( )

A. B. C. D.

查看答案和解析>>

科目:高中数学 来源:2015-2016学年福建省四地六校高二下学期第一次联考文科数学试卷(解析版) 题型:选择题

椭圆的两个焦点为F1、F2,过F1作垂直于x轴的直线与椭圆相交,P为一个交点,则( )

A. B. C D.4

查看答案和解析>>

科目:高中数学 来源:2015-2016学年福建省四地六校高二下学期第一次联考理科数学试卷(解析版) 题型:填空题

已知,若在区间上任取三个数,均存在以为边长的三角形,则实数的取值范围为

查看答案和解析>>

科目:高中数学 来源:2015-2016学年福建省四地六校高二下学期第一次联考理科数学试卷(解析版) 题型:选择题

若函数上不是单调函数,则实数k的取值范围( )

A.

B.

C.

D.不存在这样的实数k

查看答案和解析>>

科目:高中数学 来源:2015-2016学年福建省高二下期初考试文科数学试卷(解析版) 题型:填空题

下列关于圆锥曲线的命题:其中真命题的序号___________.(写出所有真命题的序号)。

①设为两个定点,若,则动点的轨迹为双曲线;

②设为两个定点,若动点满足,且,则的最大值为8;

③方程的两根可分别作椭圆和双曲线的离心率;

④双曲线与椭圆有相同的焦点

查看答案和解析>>

科目:高中数学 来源:2015-2016学年广东省高一下第一次月考数学试卷(解析版) 题型:填空题

垂直于x轴的直线l被圆x2+y2-4x-5=0截得的弦长为2,则l的方程为______ __.

查看答案和解析>>

同步练习册答案