精英家教网 > 高中数学 > 题目详情

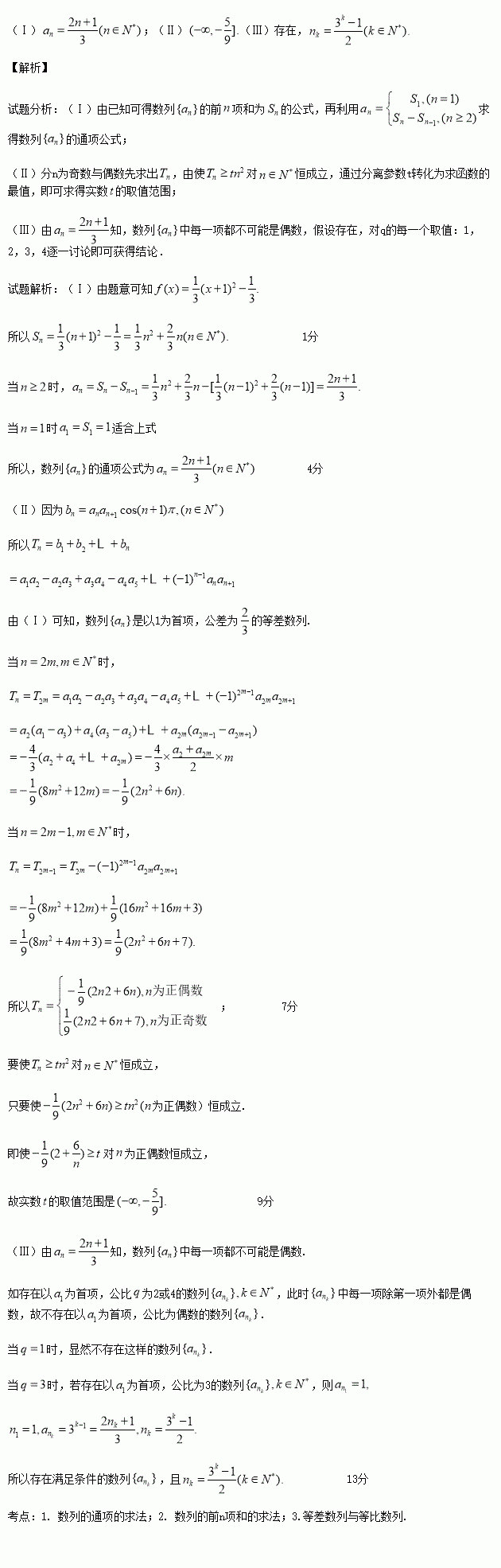
(本小题满分13分)已知二次函数的图象的顶点坐标为,且过坐标原点.数列的前项和为,点在二次函数的图象上.

(Ⅰ)求数列的通项公式;

(Ⅱ)设,数列的前项和为,若恒成立,求实数的取值范围;

(Ⅲ)在数列中是否存在这样一些项:,这些项都能够构成以为首项,为公比的等比数列?若存在,写出关于的表达式;若不存在,说明理由.

练习册系列答案
相关习题

科目:高中数学 来源:2014-2015学年河南省郑州市毕业年级第二次质量预测文科数学试卷(解析版) 题型:选择题

已知双曲线的一个焦点与抛物线= 24y的焦点重合,其一条渐近线的倾斜角为300,则该双曲线的标准方程为( )

A. B.

C. D.

查看答案和解析>>

科目:高中数学 来源:2014-2015学年北京市延庆县高三3月模拟文科数学试卷(解析版) 题型:填空题

复数在复平面上对应的点的坐标为 .

查看答案和解析>>

科目:高中数学 来源:2014-2015学年北京市延庆县高三3月模拟理科数学试卷(解析版) 题型:填空题

已知,集合,,如果,则k的取值范围是 .

查看答案和解析>>

科目:高中数学 来源:2014-2015学年北京市延庆县高三3月模拟理科数学试卷(解析版) 题型:选择题

在边长为的正方形中,分别为的中点,则( )

A.- B. C.- D.-

查看答案和解析>>

科目:高中数学 来源:2014-2015学年北京市顺义区高三第一次统一练习(一模)理科数学试卷(解析版) 题型:解答题

(本小题满分13分)在中,角所对的边分别为,已知, .

(Ⅰ)求的值;

(Ⅱ)求的值.

查看答案和解析>>

科目:高中数学 来源:2014-2015学年北京市顺义区高三第一次统一练习(一模)理科数学试卷(解析版) 题型:选择题

已知为定义在上的偶函数,当时,有,且当时,

,给出下列命题

②函数在定义域上是周期为2的函数;

③直线与函数的图象有2个交点;

④函数的值域为.

其中正确的是

A.①,② B.②,③ C.①,④ D.①,②,③,④

查看答案和解析>>

科目:高中数学 来源:2014-2015学年北京市海淀区高三下学期期中练习(一模)文科数学试卷(解析版) 题型:填空题

已知为等差数列,为其前项和.若,则公差________;的最小值为 .

查看答案和解析>>

科目:高中数学 来源:2014-2015学年山东省滕州市高一上学期期末考试数学试卷(解析版) 题型:填空题

已知集合,则

查看答案和解析>>

同步练习册答案