精英家教网 > 高中数学 > 题目详情

在△ABC中,角ABC所对的边长分别为abc,且满足csin Aacos C,则sin A+sin B的最大值是(  )

A.1  B.  C.3  D.


D

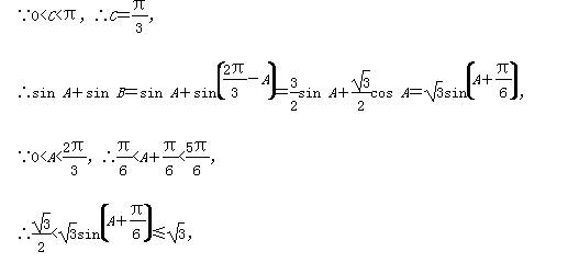
[解析] ∵csin Aacos C

∴sin Csin Asin Acos C

∵sin A≠0,∴tan C

∴sin A+sin B的最大值为,故选D.


练习册系列答案
相关习题

科目:高中数学 来源: 题型:


不等式的解集是_

查看答案和解析>>

科目:高中数学 来源: 题型:


设函数f(x)=sin(2xφ)+cos(2xφ),且其图象关于直线x=0对称,则(  )

A.yf(x)的最小正周期为π,且在上为增函数

B.yf(x)的最小正周期为π,且在上为减函数

C.yf(x)的最小正周期为,且在上为增函数

D.yf(x)的最小正周期为,且在上为减函数

 

查看答案和解析>>

科目:高中数学 来源: 题型:


某市在市内主干道北京路一侧修建圆形休闲广场.如图,圆形广场的圆心为O,半径为100 m,并与北京路一边所在直线l相切于点M.A为上半圆弧上一点,过Al的垂线,垂足为B.市园林局计划在△ABM内进行绿化.设△ABM的面积为S(单位:m2),∠AONθ(单位:弧度).

(1)将S表示为θ的函数;

(2)当绿化面积S最大时,试确定点A的位置,并求出最大面积.

 

查看答案和解析>>

科目:高中数学 来源: 题型:


若sin θ,cos θ是方程4x2+2mxm=0的两个根,则m的值为(  )

A.1+                               B.1- 

C.1±                               D.-1-

查看答案和解析>>

科目:高中数学 来源: 题型:


已知函数f(x)=λsin ωxλcos ωx(λ>0,ω>0)的部分图象如图所示,其中点A为最高点,点BC为图象与x轴的交点,在△ABC中,角ABC的对边分别为abcbc,且满足(2ca)cos Bbcos A=0.

(1)求△ABC的面积;

(2)求函数f(x)的单调递增区间.

查看答案和解析>>

科目:高中数学 来源: 题型:


等比数列{an}的前n项和为Sn,若S2n=4(a1a3+…+a2n-1),a1a2a3=27,则a6=(  )

A.27                                   B.81 

C.243                                  D.729

查看答案和解析>>

科目:高中数学 来源: 题型:


 已知定义在R上的函数f(x),g(x)满足ax,且f′(x)g(x)<f(x)g′(x),,若有穷数列(n∈N*)的前n项和等于,则n等于(  )

A.4 B.5

C.6 D.7

查看答案和解析>>

科目:高中数学 来源: 题型:


下列角中,终边在y轴正半轴上的是                                        (  )

A.           B.               C.π                    D.

查看答案和解析>>

同步练习册答案