精英家教网 > 高中数学 > 题目详情

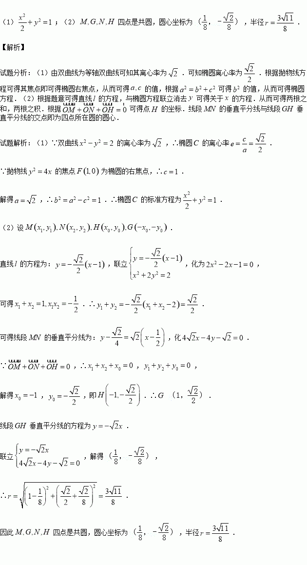
已知椭圆C:的离心率与双曲线的离心率互为倒数,且以抛物线的焦点F为右焦点.

(1)求椭圆C的标准方程;

(2)过右焦点F作斜率为的直线l交曲线C于M、N两点,且,又点H关于原点O的对称点为点G,试问M、G、N、H四点是否共圆?若共圆,求出圆心坐标和半径;若不共圆,请说明理由.

练习册系列答案
相关习题

科目:高中数学 来源:2015-2016学年江苏省高一创新班上期中数学试卷(解析版) 题型:填空题

函数为偶函数,对任意的都有)成立,则由大到小的顺序为

查看答案和解析>>

科目:高中数学 来源:2015-2016学年安徽省蚌埠市高一上学期期中数学试卷(解析版) 题型:解答题

对于函数,解答下述问题:

(1)若函数的定义域为,求实数的取值范围;

(2)若函数的值域为,求实数的值.

查看答案和解析>>

科目:高中数学 来源:2016届黑龙江牡丹江一中高三10月月考文数学试卷(解析版) 题型:解答题

已知

(1)当时,求上的最值;

(2)若函数在区间上不单调.求实数的取值范围.

查看答案和解析>>

科目:高中数学 来源:2016届贵州省高三上学期第三次月考理科数学试卷(解析版) 题型:填空题

观察下列等式:

可以推测: .(,结果用含有的代数式表示)

查看答案和解析>>

科目:高中数学 来源:2016届广东省广州市高三上学期期中文科数学试卷(解析版) 题型:选择题

若复数,则的虚部为( )

A. B. C. D.

查看答案和解析>>

科目:高中数学 来源:2015-2016学年浙江慈溪中学高一1-3班上期中数学卷(解析版) 题型:填空题

为平行四边形所在平面上一点,,则的值是______.

查看答案和解析>>

科目:高中数学 来源:2015-2016学年湖南衡阳八中高二上学期期中文科数学试卷(解析版) 题型:选择题

已知双曲线的焦距为10,点的渐近线上,则的方程为( )

A、 B、 C、 D、

查看答案和解析>>

科目:高中数学 来源:2015-2016学年吉林省扶余市高一上学期期中考试数学试卷(解析版) 题型:填空题

若定义在(-1,0)内的函数f (x)=log 2a (x+1)满足f (x)>0,则a的取值范围是________.

查看答案和解析>>

同步练习册答案