精英家教网 > 高中数学 > 题目详情

设函数f(x)=axn(1-x)+b(x>0),n为正整数,ab为常数.曲线yf(x)在(1,f(1))处的切线方程为xy=1.

(1)求ab的值;

(2)求函数f(x)的最大值.


解 (1)因为f(1)=b,由点(1,b)在xy=1上,

可得1+b=1,即b=0.

因为f′(x)=anxn-1a(n+1)xn,所以f′(1)=-a.

又因为切线xy=1的斜率为-1,

所以-a=-1,即a=1.故a=1,b=0.

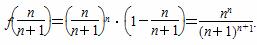
(2)由(1)知,f(x)=xn(1-x)=xnxn+1

.

f′(x)=0,解得x

上,f′(x)>0,

f(x)单调递增;

而在上,f′(x)<0,

f(x)单调递减.

f(x)在(0,+∞)上的最大值为


练习册系列答案
相关习题

科目:高中数学 来源: 题型:


已知集合A={x|x2x-2=0},B={x|ax=1},若ABB,则a=________.

查看答案和解析>>

科目:高中数学 来源: 题型:


设正实数xyz满足x2-3xy+4y2z=0,则当取得最小值时,x+2yz的最大值为________.

查看答案和解析>>

科目:高中数学 来源: 题型:


已知周期函数f(x)的定义域为R,周期为2,且当-1<x≤1时,f(x)=1-x2.若直线y=-xa与曲线yf(x)恰有2个交点,则实数a的所有可能取值构成的集合为________________________.

查看答案和解析>>

科目:高中数学 来源: 题型:


已知0<a<1,则函数f(x)=ax-|logax|的零点个数为________.

查看答案和解析>>

科目:高中数学 来源: 题型:


是双曲线)的右支上的一点,分别是左、右焦点,

的内切圆圆心的横坐标为

A.    B.    C.    D.

查看答案和解析>>

科目:高中数学 来源: 题型:


 已知函数,若函数有两个不同的零点,

则实数的取值范围是           .

查看答案和解析>>

科目:高中数学 来源: 题型:


复数为虚数单位)的虚部为

A、2      B、        C、1         D、

查看答案和解析>>

科目:高中数学 来源: 题型:


=(2,-3,1),=(2,0,3),=(0,2,2),则)=(    )

   A.  4         B.  15         C.  7         D.  3

查看答案和解析>>

同步练习册答案