精英家教网 > 高中数学 > 题目详情

【题目】已知函数.

(1)若函数在点处的切线方程为,求的值;

(2)若在区间上,函数的图象恒在直线下方,求的取值范围.

【答案】(1);(2).

【解析】试题分析:(1)利用函数在处切线的斜率为可求得.将切点坐标代入切线方程可求得.(2)构造函数,则问题转化为在区间上恒成立.对求导后,对分成三类,讨论函数的单调区间和最值,由此求得的取值范围.

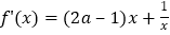
试题解析:(1)由题知:

,即

所以切点为,代入切线方程得:

.

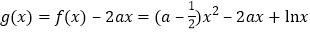
(2)令,则的定义域为

在区间上函数的图象恒在直线下方,

等价于在区间上恒成立,

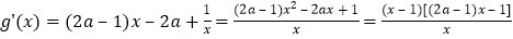
,得

①若,则

∴在上有,在上有

上递减,在上递增,

此时与在区间上恒成立相背,

不符合题意.

②若时,则

∵在上有,∴在区间递增,

,此时与在区间上恒成立相背,

不符合题意.

③若,则

∵在区间上有,则在区间递减,

恒成立,要使恒成立,

只需,∴

.

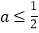
综上,当时,函数的图象恒在直线下方.

练习册系列答案
相关习题

科目:高中数学 来源: 题型:

【题目】如右图所示,设EFE1F1分别是长方体ABCDA1B1C1D1的棱ABCDA1B1C1D1的中点,则平面EFD1A1与平面BCF1E1的位置关系是 (  )

A. 平行 B. 相交 C. 异面 D. 不确定

查看答案和解析>>

科目:高中数学 来源: 题型:

【题目】某公司试销一种成本单价为500元的新产品,规定试销时销售单价不低于成本单价,又不高于800元.经试销调查,发现销售量y()与销售单价x()之间的关系可近似看作一次函数ykxb(k≠0),函数图象如图所示.

(1)根据图象,求一次函数ykxb(k≠0)的表达式;

(2)设公司获得的毛利润(毛利润=销售总价-成本总价)S元.试问销售单价定为多少时,该公司可获得最大毛利润?最大毛利润是多少?此时的销售量是多少?

查看答案和解析>>

科目:高中数学 来源: 题型:

【题目】【2014天津,文19】已知函数

(1) 的单调区间和极值;

(2)若对于任意的,都存在,使得,求的取值范围

查看答案和解析>>

科目:高中数学 来源: 题型:

【题目】已知函数.

(1)若,恒有成立,求实数的取值范围;

(2)若函数有两个极值点,求证:.

查看答案和解析>>

科目:高中数学 来源: 题型:

【题目】在四棱锥中,都是边长为2的等边三角形,设在底面的射影为.

(1)求证:中点;

(2)证明:

(3)求点到面的距离.

查看答案和解析>>

科目:高中数学 来源: 题型:

【题目】已知某中学高三文科班学生共有800人参加了数学与地理的水平测试,现从中随机抽取100人的数学与地理的水平测试成绩如下表:

成绩分为优秀、良好、及格三个等级;横向,纵向分别表示地理成绩与数学成绩,例如:表中数学成绩为良好的共有.

)若在该样本中,数学成绩优秀率是30%,求的值;

)已知,求数学成绩为优秀的人数比及格的人数少的概率.

查看答案和解析>>

科目:高中数学 来源: 题型:

【题目】(2016·桂林高二检测)如图所示在四边形ABCDAB=AD=CD=1BD=BDCD将四边形ABCD沿对角线BD折成四面体A′-BCD使平面A′BD⊥平面BCD则下列结论正确的是________.

(1)A′C⊥BD.(2)∠BA′C=90°.

(3)CA′与平面A′BD所成的角为30°.

(4)四面体A′-BCD的体积为.

查看答案和解析>>

科目:高中数学 来源: 题型:

【题目】某渔场有一边长为20m的正三角形湖面ABC(如图所示),计划筑一条笔直的堤坝DE将水面分成面积相等的两部分,以便进行两类水产品养殖试验(DAB上,EAC上).

(1)为了节约开支,堤坝应尽可能短,请问该如何设计?堤坝最短为多少?

(2)将DE设计为景观路线,堤坝应尽可能长,请问又该如何设计?

查看答案和解析>>

同步练习册答案