精英家教网 > 高中数学 > 题目详情

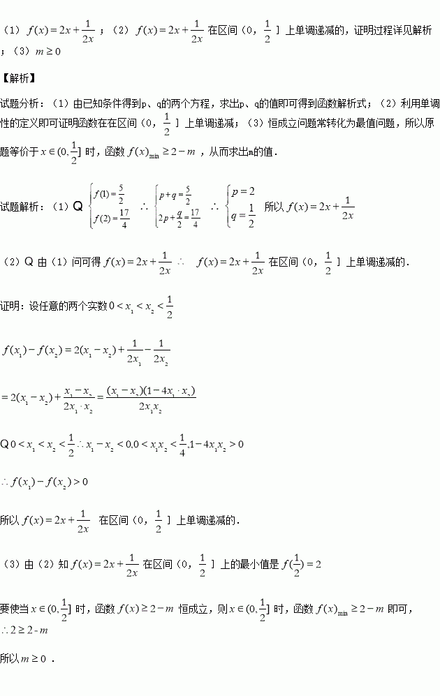
(本题满分12分)已知函数(实数p、q为常数),且满足

(1)求函数的解析式;

(2)试判断函数在区间上的单调性,并用函数单调性的定义证明;

(3)当时,函数恒成立,求实数m的取值范围

练习册系列答案
相关习题

科目:高中数学 来源:2015-2016学年陕西省西安市高一第一次月考数学试卷(解析版) 题型:填空题

在区间上是增函数,则的取值范围是

查看答案和解析>>

科目:高中数学 来源:2015-2016学年湖北省高二上学期第一次月考文科数学试卷(解析版) 题型:解答题

(本小题满分12分)已知直线,半径为的圆相切,圆心轴上且在直线的上方

(1)求圆的方程;

(2)过点的直线与圆交于两点(轴上方),问在轴正半轴上是否存在点,使得轴平分?若存在,请求出点的坐标;若不存在,请说明理由.

查看答案和解析>>

科目:高中数学 来源:2016届广东省广州市荔湾区高三上学期调研测试一理科数学试卷(解析版) 题型:解答题

(本小题满分10分)选修4-4:坐标系与参数方程

在直角坐标系中,曲线的参数方程为,(为参数),以原点为极点,轴正半轴为极轴,建立极坐标系,曲线的极坐标方程为

(1)求曲线的普通方程与曲线的直角坐标方程;

(2)设为曲线上的动点,求点上点的距离的最小值.

查看答案和解析>>

科目:高中数学 来源:2015-2016学年重庆市高二上学期第一次月考数学试卷(解析版) 题型:解答题

三棱锥P—ABC中,PO⊥面ABC,垂足为O,若PA⊥BC,PC⊥AB,求证:

(1)AO⊥BC

(2)PB⊥AC

查看答案和解析>>

科目:高中数学 来源:2015-2016学年湖南省高一上学期实验班招生数学试卷(解析版) 题型:填空题

如图所示,两块完全相同的含30°角的直角三角板叠放在一起,∠DAB =30°,有以下四个结论:①AF⊥BC;②△ADG≌△ACF;③O为BC的中点;④AG︰DE=,其中正确结论的序号是

查看答案和解析>>

科目:高中数学 来源:2015-2016学年河南省高一上期第一次月考数学试卷(解析版) 题型:选择题

一水池有2个进水口,1个出水口,进出水速度如图甲、乙所示.某天0点到6点,该水池的蓄水量如图丙所示.(至少打开一个水口)

给出以下3个论断:

①0点到3点只进水不出水;C

② 3点到4点不进水只出水;

③ 4点到6点不进水不出水.则正确论断的个数是( )

A.0 B.1 C.2 D.3

查看答案和解析>>

科目:高中数学 来源:2015-2016学年河北衡水冀州中学高二上学期第一次月考文科数学试卷(解析版) 题型:选择题

已知则线段的垂直平分线的方程是( )

A. B.

C. D.

查看答案和解析>>

科目:高中数学 来源:2015-2016学年湖南省高二下学期第一次月考理科数学试卷(解析版) 题型:解答题

(本小题满分12分)在锐角ABC中,角A,B,C所对的边分别为a,b,c,已知b=2asinB.

(Ⅰ)求角A的大小;

(Ⅱ)求sinB+sinC的取值范围.

查看答案和解析>>

同步练习册答案