精英家教网 > 高中数学 > 题目详情

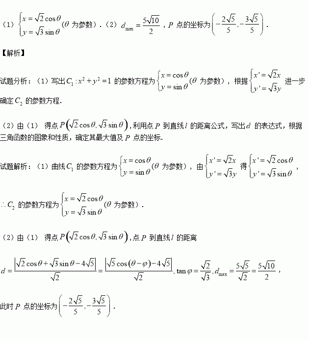
(选修4-4:坐标系与参数方程) 平面直角坐标系中, 已知曲线,将曲线上所有点横坐标, 纵坐标分别伸长为原来的倍和倍后, 得到曲线.

(1)试写出曲线参数方程;

(2)在曲线上求点,使得点到直线的距离最大, 并求距离最大值.

练习册系列答案
相关习题

科目:高中数学 来源:2015-2016学年河北邢台一中高二6月月考文科数学试卷(解析版) 题型:解答题

已知函数满足,且当时, .

(1)证明:函数是周期函数;

(2)若,求的值.

查看答案和解析>>

科目:高中数学 来源:2015-2016学年河北省高二6月月考数学试卷(解析版) 题型:选择题

是曲线上任意一点,则点到直线的距离的最小值为( )

A. B. C. D.

查看答案和解析>>

科目:高中数学 来源:2015-2016学年河北省高一6月月考数学试卷(解析版) 题型:选择题

直线与圆相交于两点且,则的值为( )

A.3 B.2 C.1 D.0

查看答案和解析>>

科目:高中数学 来源:2015-2016学年河北省高一6月月考数学试卷(解析版) 题型:选择题

直线倾斜角的取值范围( )

A. B.

C. D.

查看答案和解析>>

科目:高中数学 来源:2015-2016学年河南南阳一中高二下第二次月考文科数学卷(解析版) 题型:解答题

已知复数,则当实数分别为何值时,复数是:

(1)实数;

(2)纯虚数;

(3)对应的点位于复平面第三象限.

查看答案和解析>>

科目:高中数学 来源:2015-2016学年河南南阳一中高二下第二次月考文科数学卷(解析版) 题型:选择题

在某县客车临时停靠站,每天均有上、中、下等级的客车各一辆开往城区, 某天李先生准备从该站前往城区办事, 但他不知道客车的车况, 也不知道发车的顺序, 为了尽可能乘到上等车, 他采取如下策略:先放过第一辆, 如果第二辆比第一辆好则上第二辆, 否则上第三辆, 那么李先生乘到上等车的概率为( )

A. B. C. D.

查看答案和解析>>

科目:高中数学 来源:2015-2016学年河南南阳一中高二下第二次月考理科数学卷(解析版) 题型:填空题

设非零常数是等差数列的公差, 随机变量等可能地取值,则方差

查看答案和解析>>

科目:高中数学 来源:2016届安徽省高三下学期冲刺模拟文科数学A卷(解析版) 题型:解答题

已知圆,圆,动圆与圆外切并与圆内切,圆心的轨迹为曲线 .

(1)求的方程;

(2)若直线与曲线交于两点,问是否在轴上存在一点,使得当变动时总有?若存在,请说明理由.

查看答案和解析>>

同步练习册答案