精英家教网 > 高中数学 > 题目详情
在长方体ABCD-A1B1C1D1中,AA1=AD=1,底边AB上有且只有一点M使得平面D1DM⊥平面D1MC,
(1)求异面直线C1C与D1M的距离;
(2)求二面角M-D1C-D的正弦值。
解:(1)过D作于H,
∵平面平面且平面平面
∴DH⊥平面

又∵
平面

又∵满足条件的M只有一个,
∴以CD为直径的圆必与AB相切,切点为M,M为AB的中点,

∴CD=2,
∵MC⊥平面

又∵
所以MC为异面直线C1C与D1M的公垂线段,
CM的长度为所求距离
(2)取CD中点E,连结ME,则ME⊥平面
过M作于F,连结EF,则
∴∠MFE为二面角的平面角,
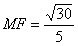
又∵ME=1,
中,
练习册系列答案
相关习题

科目:高中数学 来源: 题型:

在长方体ABCD-A'B'C'D'中,AB=
3
,AD=
3
,AA′=1,则AA′和BC′所成的角是(  )

查看答案和解析>>

科目:高中数学 来源: 题型:

如图,在长方体ABCD-A′B′C′D′中,用截面截下一个棱锥C-A′DD′,求棱锥C-A′DD′的体积与剩余部分的体积之比.

查看答案和解析>>

科目:高中数学 来源: 题型:

(2013•上海) 如图,在长方体ABCD-A′B′C′D′中,AB=2,AD=1,AA′=1.证明直线BC′平行于平面D′AC,并求直线BC′到平面D′AC的距离.

查看答案和解析>>

科目:高中数学 来源: 题型:

(2009•青浦区二模)(理)在长方体ABCD-A'B'C'D'中,AB=2,AD=1,AA'=1.
求:
(1)顶点D'到平面B'AC的距离;
(2)二面角B-AC-B'的大小.(结果用反三角函数值表示)

查看答案和解析>>

科目:高中数学 来源: 题型:

精英家教网已知在长方体ABCD-A′B′C′D′中,点E为棱CC′上任意一点,AB=BC=2,CC′=1.
(Ⅰ)求证:平面ACC′A′⊥平面BDE;
(Ⅱ)若点P为棱C′D′的中点,点E为棱CC′的中点,求二面角P-BD-E的余弦值.

查看答案和解析>>

同步练习册答案