精英家教网 > 高中数学 > 题目详情

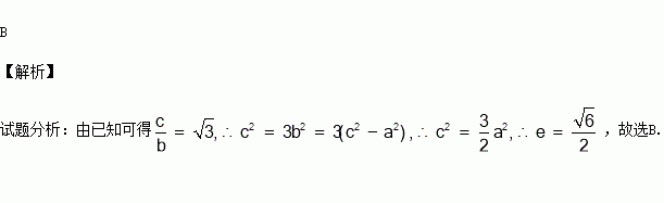
已知双曲线的左,右焦点与虚轴的一个端点构成一个角为120°的三角形,则双曲线的离心率为( )

A. B. C. D.

练习册系列答案
相关习题

科目:高中数学 来源:2016届江西省九江市高三下学期三模理科数学试卷(解析版) 题型:选择题

已知函数满足,则( )

A. B. C. D.

查看答案和解析>>

科目:高中数学 来源:2016届云南省高三适应性月考八理科数学试卷(解析版) 题型:填空题

已知实数满足条件,则的取值范围是 .

查看答案和解析>>

科目:高中数学 来源:2016届西藏日喀则一中高三下学期二模文科数学试卷(解析版) 题型:解答题

已知正项数列的前项和为,且,数列满足,且.

(1)求数列的通项公式;

(2)记,求.

查看答案和解析>>

科目:高中数学 来源:2016届西藏日喀则一中高三下学期二模文科数学试卷(解析版) 题型:填空题

观察下列各式:

……

照此规律,当时,则

查看答案和解析>>

科目:高中数学 来源:2016届西藏日喀则一中高三下学期二模文科数学试卷(解析版) 题型:选择题

是虚数单位,若复数是纯虚数,则( )

A.-1 B.1 C.-2 D.2

查看答案和解析>>

科目:高中数学 来源:2016届西藏日喀则一中高三下学期二模理科数学试卷(解析版) 题型:填空题

已知抛物线的准线方程为,焦点为为该抛物线上不同的三点,成等差数列,且点轴下方,若,则直线的方程为

查看答案和解析>>

科目:高中数学 来源:2016届江苏省高三考前一周双练三模数学试卷(解析版) 题型:解答题

在极坐标系中,设圆经过点,圆心是直线与极轴的交点,求圆的极坐标方程.

查看答案和解析>>

科目:高中数学 来源:2016届四川省高三下三诊考试文科数学试卷(解析版) 题型:选择题

下列函数中,在定义域内是奇函数,且在区间(-1,1)内仅有一个零点的函数是( )

A. B.

C. D.

查看答案和解析>>

同步练习册答案