精英家教网 > 高中数学 > 题目详情

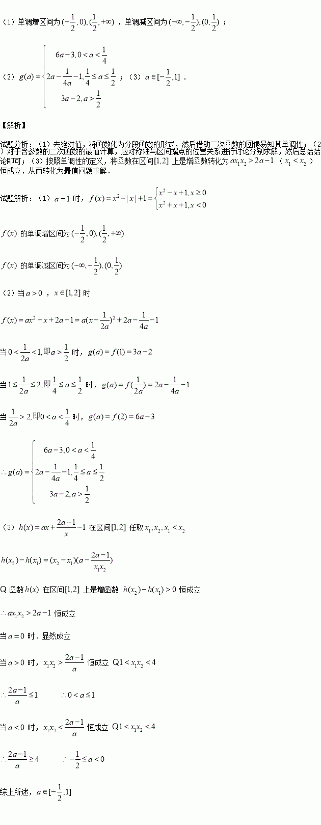
已知函数为实常数).

(1)若,求的单调区间;

(2)若,设在区间的最小值为,求的表达式;

(3)设,若函数在区间上是增函数,求实数的取值范围.

练习册系列答案
相关习题

科目:高中数学 来源:2016届河北省高三上学期四调理科数学试卷(解析版) 题型:选择题

满足约束条件,若目标函数)的最大值为,则的图象向右平移后的表达式为( )

A. B. C. D.

查看答案和解析>>

科目:高中数学 来源:2016届湖南省株洲市高三上学期期中文科数学试卷(解析版) 题型:解答题

已知等差数列的首项,公差,且的第二项、第五项、第十四项成等比数列。

(1)求数列的通项公式;

(2)设,记为数列的前n项和,求并说明是否存在最大的整数t,使得对任意的n均有总成立?若存在,求出t;若不存在,请说明理由.

查看答案和解析>>

科目:高中数学 来源:2016届湖北武汉华中师大一附等高三上第一次联考文数学卷(解析版) 题型:选择题

是等差数列,是其前项和,且,则下列结论错误的是( )

A. B. C. D.均为的最大值

查看答案和解析>>

科目:高中数学 来源:2016届福建省高三上学期期中考理科数学试卷(解析版) 题型:解答题

设数列的前项和为,已知),是数列的前项和.

(1)求数列的通项公式;

(2)求满足的最大正整数的值.

查看答案和解析>>

科目:高中数学 来源:2015-2016学年浙江省高一上学期期中数学试卷(解析版) 题型:选择题

下列函数与有相同图象的一个函数是( ).

A. B. C. D.

查看答案和解析>>

科目:高中数学 来源:2015-2016学年湖南师大附中高二上学期期中文科数学试卷(解析版) 题型:解答题

已知正项等比数列满足:

(1)求数列的通项公式;

(2)记数列的前项为,求证:对于任意正整数

查看答案和解析>>

科目:高中数学 来源:2014-2015学年贵州省高二上学期半期考试文科数学试卷(解析版) 题型:选择题

双曲线的渐近线方程是( ).

A. B. C. D.

查看答案和解析>>

科目:高中数学 来源:2016届甘肃省高三12月月考理科数学试卷(解析版) 题型:选择题

已知一个几何体的三视图是三个全等的边长为1的正方形,如图所示,则它的体积为( )

A. B. C. D.

查看答案和解析>>

同步练习册答案