精英家教网 > 高中数学 > 题目详情
设等比数列{an}的前n项和为Sn,若8a2+a5=0,则下列式子中数值不确定的是( )
A.
B.
C.
D.
【答案】分析:由已知利用等比数列的通项公式可求出q,然后代入各选项进行检验即可
解答:解:∵8a2+a5=0,
∴8=0
∵a1≠0,q≠0
∴8q3+1=0
∴q=-
A:=q2=
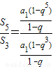
B:===
C:
D:=,由于n不确定,比值也不确定
故选D
点评:本题主要考查了等比数列的通项公式及求和公式的简单应用,属于公式的基本应用.
练习册系列答案
相关习题

科目:高中数学 来源: 题型:

设等比数列{an}的前n项和为Sn,若8a2+a5=0,则下列式子中数值不能确定的是(  )
A、
a5
a3
B、
S5
S3
C、
an+1
an
D、
Sn+1
Sn

查看答案和解析>>

科目:高中数学 来源: 题型:

12、设等比数列{an}的前n项和为Sn,巳知S10=∫03(1+2x)dx,S20=18,则S30=
21

查看答案和解析>>

科目:高中数学 来源: 题型:

设等比数列{an}的前n项和为Sn,若S6:S3=3,则S9:S6=
 

查看答案和解析>>

科目:高中数学 来源: 题型:

设等比数列{an}的前n项和为Sn,若
S6
S3
=3,则
S9
S6
=(  )
A、
1
2
B、
7
3
C、
8
3
D、1

查看答案和解析>>

科目:高中数学 来源: 题型:

设等比数列{an}的前n 项和为Sn,若
S6
S3
=3,则
S9
S3
=
7
7

查看答案和解析>>

同步练习册答案