精英家教网 > 高中数学 > 题目详情

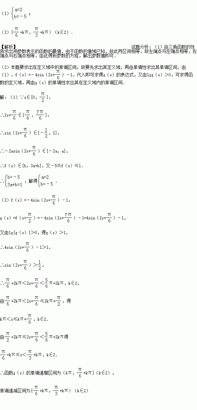
(2013•文峰区校级一模)已知a>0,函数f(x)=﹣2asin(2x+)+2a+b,当x∈[0,]时,﹣5≤f(x)≤1.

(1)求常数a,b的值;

(2)设g(x)=f(x+)且lg[g(x)]>0,求g(x)的单调区间.

练习册系列答案
相关习题

科目:高中数学 来源:2016届黑龙江省高三12月考文科数学试卷(解析版) 题型:选择题

已知抛物线的焦点F到双曲线C:渐近线的距离为,点是抛物线上的一动点,P到双曲线C的上焦点的距离与到直线的距离之和的最小值为3,则该双曲线的方程为( )

A. B.

C. D.

查看答案和解析>>

科目:高中数学 来源:2015-2016学年辽宁省高二上10月月考理科数学试卷(解析版) 题型:解答题

(2015春•福建期末)由四个不同的数字1,2,4,x组成无重复数字的三位数.

(1)若x=5,其中能被5整除的共有多少个?

(2)若x=9,其中能被3整除的共有多少个?

(3)若x=0,其中的偶数共有多少个?

(4)若所有这些三位数的各位数字之和是252,求x.

查看答案和解析>>

科目:高中数学 来源:2015-2016学年吉林省高一上11月月考数学试卷(解析版) 题型:选择题

(2015秋•吉林校级月考)设全集U=R,集合M={x|﹣2≤x<3},N={x|﹣1≤x≤4},则N∩∁UM=( )

A.{x|﹣4≤x≤﹣2} B.{x|﹣1≤x≤3}

C.{x|3≤x≤4} D.{x|3<x≤4}

查看答案和解析>>

科目:高中数学 来源:2015-2016学年湖南省益阳市高二上12月月考文科数学试卷(解析版) 题型:解答题

(2015秋•桃江县校级月考)已知 a、b、c分别为ABC三个内角A、B、C的对边,且ccosA﹣asinC﹣c=0

(1)求角A

(2)若a=2,△ABC的面积为,求b、c.

查看答案和解析>>

科目:高中数学 来源:2015-2016学年河南省高二上12月月考文科数学试卷(解析版) 题型:解答题

(2011•咸阳三模)已知数列{an}的各项均为正数,Sn是数列{an}的前n项和,且4Sn=an2+2an﹣3.

(1)求数列{an}的通项公式;

(2)已知bn=2n,求Tn=a1b1+a2b2+…+anbn的值.

查看答案和解析>>

科目:高中数学 来源:2015-2016学年广东省顺德市高二上第二次段考文科数学试卷(解析版) 题型:填空题

(2015秋•顺德区校级月考)与直线2x+y+1=0的距离为的直线方程为

查看答案和解析>>

科目:高中数学 来源:2015-2016学年江西省南昌市高一10月月考数学试卷(解析版) 题型:填空题

设集合A={},B={x},且AB,则实数k的取值范围

查看答案和解析>>

科目:高中数学 来源:2016届江苏省高三12月月考数学试卷(解析版) 题型:解答题

数学运算中,常用符号来表示算式,如=,其中

(Ⅰ)若,…,成等差数列,且,公差,求证:

(Ⅱ)若,记,且不等式对于恒成立,求实数的取值范围.

查看答案和解析>>

同步练习册答案