精英家教网 > 高中数学 > 题目详情

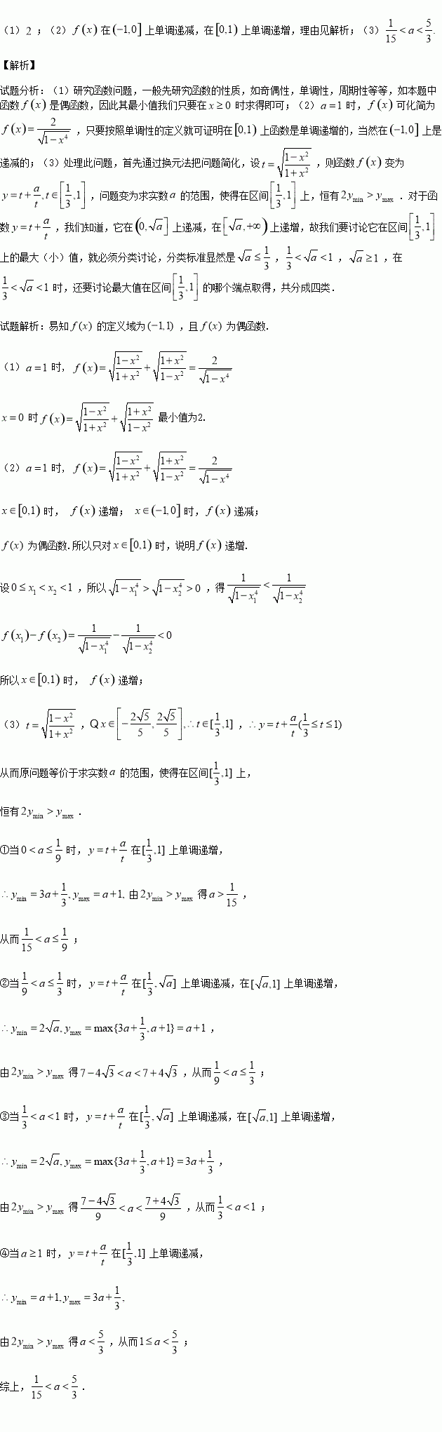
已知实数,函数.

(1)当时,求的最小值;

(2)当时,判断的单调性,并说明理由;

(3)求实数的范围,使得对于区间上的任意三个实数,都存在以为边长的三角形.

练习册系列答案
相关习题

科目:高中数学 来源:2016届河北省高三下第一次模拟理科数学试卷(解析版) 题型:填空题

已知三棱锥中,平面平面,则三棱锥的外接球的大圆面积为________.

查看答案和解析>>

科目:高中数学 来源:2015-2016学年湖南师大附中高二下第一次段测理数学试卷(解析版) 题型:解答题

如图,已知直三棱柱,E是棱上动点,F是AB中点,AC=BC=2,=4.

(I)当E是棱中点时,求证://平面

(II)在棱上是否存在点E,使得二面角的大小是45°,若存在,求CE的长,若不存在,请说明理由.

查看答案和解析>>

科目:高中数学 来源:2015-2016学年湖南师大附中高二下第一次段测理数学试卷(解析版) 题型:选择题

复数等于( )

A.—2 B.2 C.1— D.1+

查看答案和解析>>

科目:高中数学 来源:2015-2016学年河北定州中学高一上学期周练一数学试卷(解析版) 题型:解答题

某种树苗栽种时高度为A(A为常数)米,栽种n年后的高度记为f(n).经研究发现f(n)近似地满足 f(n)=,其中,a,b为常数,n∈N,f(0)=A.已知栽种3年后该树木的高度为栽种时高度的3倍.

(1)栽种多少年后,该树木的高度是栽种时高度的8倍;

(2)该树木在栽种后哪一年的增长高度最大.

查看答案和解析>>

科目:高中数学 来源:2015-2016学年河北定州中学高一上学期周练一数学试卷(解析版) 题型:选择题

若平面点集满足:任意点,存在,都有,则称该点集是“ 阶稳定”点集.现有四个命题:

①对任意平面点集,都存在正数,使得是“ 阶稳定”点集;

②若,则是“ 阶稳定”点集;

③若,则是“ 阶稳定”点集;

④若是“ 阶稳定”点集,则的取值范围是

其中正确命题的序号为( )

A.①② B.②③ C.①④ D.③④

查看答案和解析>>

科目:高中数学 来源:2015-2016学年河北定州中学高一上学期周练一数学试卷(解析版) 题型:选择题

关于x的方程,在上有解,则实数a的取值范围是( )

A. B.

C. D.

查看答案和解析>>

科目:高中数学 来源:2016届重庆一中高三下高考适应性考试文科数学试卷(解析版) 题型:填空题

一条斜率为的直线与曲线:和曲线:分别相切于不同两点,则这两点间的距离等于

查看答案和解析>>

科目:高中数学 来源:2016届重庆一中高三5月模拟考试理科数学试卷(解析版) 题型:解答题

已知直线的参数方程为为参数,以坐标原点为极点,轴的正半轴为极轴建立极坐标系,曲线的极坐标方程为,且曲线的左焦点在直线上.

(Ⅰ)若直线与曲线交于两点,求的值;

(Ⅱ)设曲线的内接矩形的周长为,求的最大值.

查看答案和解析>>

同步练习册答案