精英家教网 > 高中数学 > 题目详情

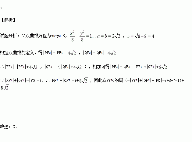
过双曲线的左焦点有一条弦PQ交左支于P、Q点,若是双曲线的右焦点,则的周长是( )

A.28 B. C. D.

练习册系列答案
相关习题

科目:高中数学 来源:2016届宁夏六盘山高中高三上学期第二次月考文科数学试卷(解析版) 题型:解答题

已知等比数列,数列满足

(1)求数列的通项公式;

(2)设,求数列的前项和

查看答案和解析>>

科目:高中数学 来源:2016届福建省高三上学期期中考理科数学试卷(解析版) 题型:解答题

设数列的前项和为,已知),是数列的前项和.

(1)求数列的通项公式;

(2)求满足的最大正整数的值.

查看答案和解析>>

科目:高中数学 来源:2015-2016学年湖南师大附中高二上学期期中文科数学试卷(解析版) 题型:解答题

已知正项等比数列满足:

(1)求数列的通项公式;

(2)记数列的前项为,求证:对于任意正整数

查看答案和解析>>

科目:高中数学 来源:2015-2016学年湖南衡阳八中高二上第二次月考文科数学卷(解析版) 题型:选择题

有5个不同的社团,甲、乙两名同学各自参加其中1个社团,每位同学参加各个社团的可能性相同,则这两位同学参加的社团不同的概率为( )

A. B. C. D.

查看答案和解析>>

科目:高中数学 来源:2014-2015学年贵州省高二上学期半期考试文科数学试卷(解析版) 题型:选择题

双曲线的渐近线方程是( ).

A. B. C. D.

查看答案和解析>>

科目:高中数学 来源:2014-2015学年广东省心学校高一上学期期末数学试卷(解析版) 题型:选择题

下列向量组中,能作为表示它们所在平面内所有向量的基底的是( ).

A.

B.

C.

D.

查看答案和解析>>

科目:高中数学 来源:2016届湖南师范大学附中高三上学期月考三理科数学试卷(解析版) 题型:解答题

选修4—5:不等式选讲

已知函数,其中为实常数.

(1)若函数的最小值为3,求的值;

(2)若当时,不等式恒成立,求的取值范围.

查看答案和解析>>

科目:高中数学 来源:2015-2016学年四川省实验学校高二上学期期中文科数学试卷(解析版) 题型:解答题

已知点 (0,5)及圆

(1)若直线且被圆C截得的线段长为4,求的方程;

(2)求过点的圆的弦的中点的轨迹方程.

查看答案和解析>>

同步练习册答案