精英家教网 > 高中数学 > 题目详情

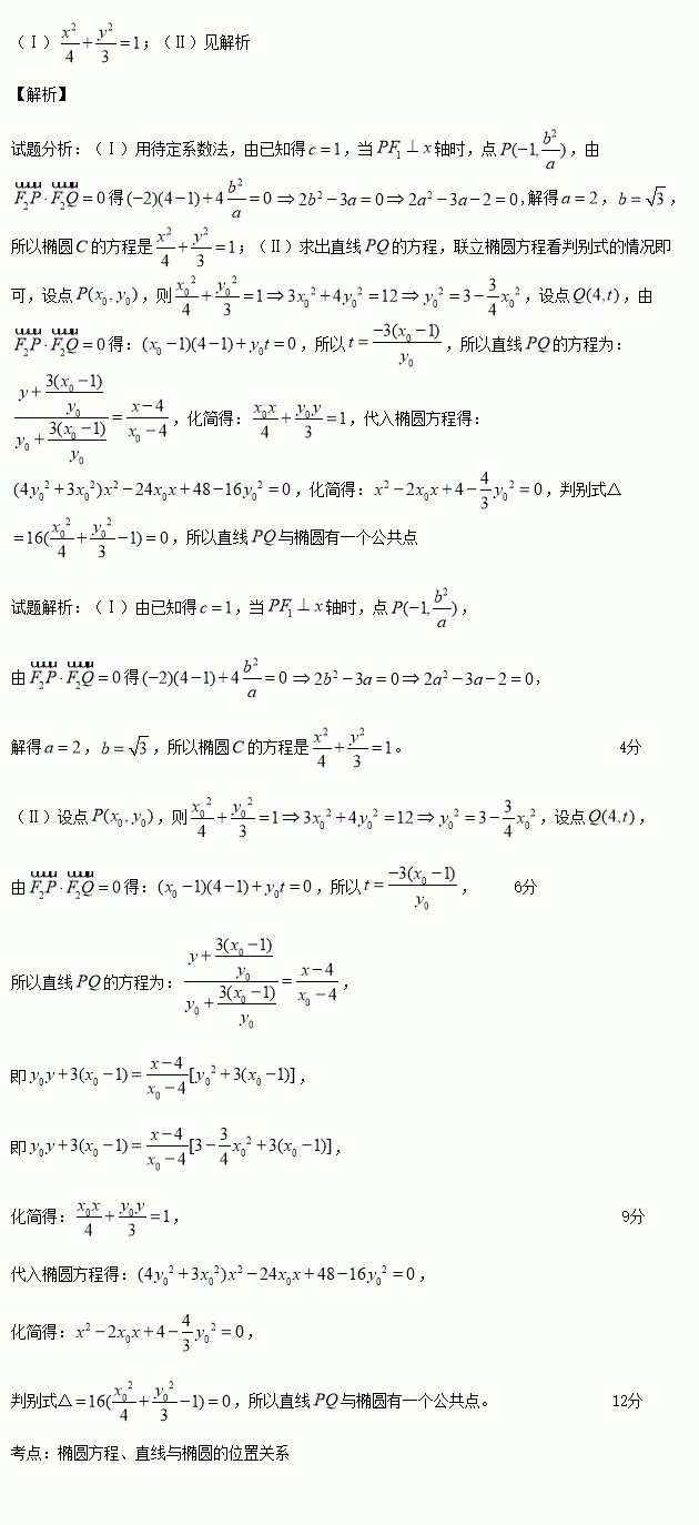
(本小题满分12分)已知椭圆的左右焦点分别是,直线的方程是,点是椭圆上动点(不在轴上),过点作直线的垂线交直线于点,当垂直轴时,点的坐标是

(Ⅰ)求椭圆的方程;

(Ⅱ)判断点运动时,直线与椭圆的公共点个数,并证明你的结论.

练习册系列答案
相关习题

科目:高中数学 来源:2014-2015学年辽宁省朝阳市三校协作体高三下学期第一次模拟考试文科数学试卷(解析版) 题型:解答题

(本小题满分12分)为等腰直角三角形,分别是边的中点,现将沿折起,使面是边的中

点,平面交于点

(Ⅰ)求证:

(Ⅱ)求三棱锥的体积.

查看答案和解析>>

科目:高中数学 来源:2014-2015学年辽宁省朝阳市三校协作体高三下学期第一次模拟考试理科数学试卷(解析版) 题型:选择题

等差数列的前项和为,且==,则公差等于( )

A. B. C. D.

查看答案和解析>>

科目:高中数学 来源:2014-2015学年江西省高三高考适应性测试文科数学试卷(解析版) 题型:选择题

已知函数)的部分图像如图所示,则 的图象可由 的图象( )

A.向右平移个长度单位 B.向左平移个长度单位

C.向右平移个长度单位 D.向左平移个长度单位

查看答案和解析>>

科目:高中数学 来源:2014-2015学年江西省高三高考适应性测试文科数学试卷(解析版) 题型:选择题

已知集合,则( )

A. B. C. D.

查看答案和解析>>

科目:高中数学 来源:2014-2015学年江西省高三高考适应性测试理科数学试卷(解析版) 题型:填空题

若变量满足约束条件,则的最大值是 .

查看答案和解析>>

科目:高中数学 来源:2014-2015学年江西省高三高考适应性测试理科数学试卷(解析版) 题型:选择题

已知抛物线,那么过抛物线的焦点,长度为不超过2015的整数的弦条数是( )

A.4024 B.4023 C.2012 D.2015

查看答案和解析>>

科目:高中数学 来源:2014-2015学年贵州省八校联盟高三第二次联考文科数学试卷(解析版) 题型:填空题

在区间内随机取两个实数分别为,则使函数存在极值点的概率为 .

查看答案和解析>>

科目:高中数学 来源:2014-2015学年广东省揭阳市毕业班高考第一次模拟考试理科数学试卷(解析版) 题型:解答题

(本小题满分14分)已知为数列的前项和,),且

(1)求的值;

(2)求数列的前项和

(3)设数列满足,求证:

查看答案和解析>>

同步练习册答案