精英家教网 > 高中数学 > 题目详情

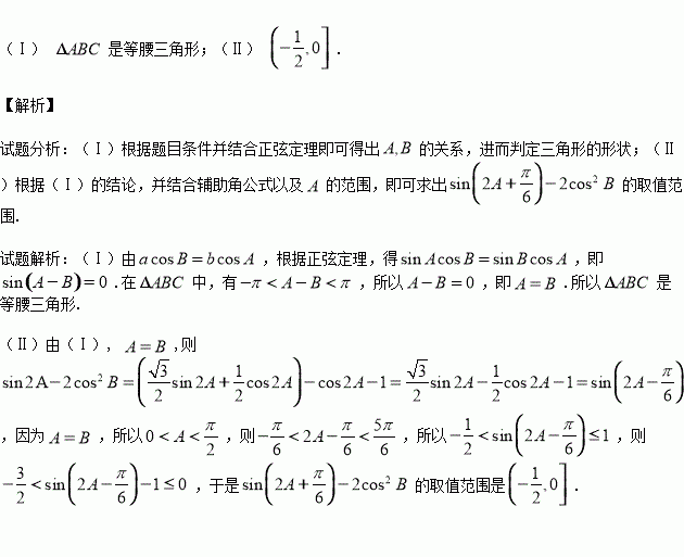
中,角所对的边分别为,且满足.

(Ⅰ)判断的形状;

(Ⅱ)求的取值范围.

练习册系列答案
相关习题

科目:高中数学 来源:2015-2016学年山东省胶州市高二上学期期末考试理科数学试卷(解析版) 题型:解答题

已知椭圆C的两个焦点的坐标分别为,并求且经过点,M,N为椭圆C上关于轴对称的不同两点.

(Ⅰ)求椭圆C的标准方程;

(Ⅱ)若,试求点M的坐标;

(Ⅲ)若轴上的两点,且,试判断直线MA,NB的交点P是否在椭圆C上,并证明你的结论.

查看答案和解析>>

科目:高中数学 来源:2015-2016学年湖北省宜昌市高一上期末数学试卷(解析版) 题型:选择题

设集合.若,则实数的取值范围是

A. B.

C. D.

查看答案和解析>>

科目:高中数学 来源:2015-2016学年湖南省长沙市高一上期末数学试卷(解析版) 题型:选择题

若函数f(x)=x3+x2-2x-2的一个正数零点附近的函数值用二分法逐次计算,参考数据如下表:

那么方程x3+x2-2x-2=0的一个近似根(精确到0.1)为 ( )

A、1.2 B、1.3 C、1.4 D、1.5

查看答案和解析>>

科目:高中数学 来源:2016届四川省高三4月模拟三理科数学试卷(解析版) 题型:解答题

,函数为自然对数的底数),且函数的图象与函数的图象在处有公共的切线.

(Ⅰ)求的值;

(Ⅱ)讨论函数的单调性;

(Ⅲ)若在区间内恒成立,求的取值范围.

查看答案和解析>>

科目:高中数学 来源:2016届四川省高三4月模拟三理科数学试卷(解析版) 题型:填空题

的展开式中,含项的系数是 .(用数字填写答案)

查看答案和解析>>

科目:高中数学 来源:2016届四川省高三4月模拟三理科数学试卷(解析版) 题型:选择题

执行如图所示的程序框图,输出的值为( )

A.45 B.55 C.66 D.110

查看答案和解析>>

科目:高中数学 来源:2016届山东省滨州市高三第二次模拟考试文科数学试卷(解析版) 题型:选择题

函数的图象大致为( )

查看答案和解析>>

科目:高中数学 来源:2016届海南省高三考前模拟八文科数学试卷(解析版) 题型:选择题

,那么的零点个数有( )

A.个 B.个 C.个 D.的值不同时零点的个数不同

查看答案和解析>>

同步练习册答案