精英家教网 > 高中数学 > 题目详情

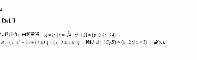
已知全集,集合,则( )

A. B. C. D.

练习册系列答案
相关习题

科目:高中数学 来源:2015-2016学年湖南师大附中高二下期中理科数学试卷(解析版) 题型:解答题

现有长分别为的钢管各3根(每根钢管质地均匀、粗细相同附有不同的编号),从中随机抽取2根(假设各钢管被抽取的可能性是均等的),再将抽取的钢管相接焊成笔直的一根.若表示新焊成的钢管的长度(焊接误差不计).

(1)求的分布列;

(2)若,求实数的取值范围.

查看答案和解析>>

科目:高中数学 来源:2016届安徽省淮南市高三下学期二模文科数学试卷(解析版) 题型:选择题

函数的图象大致为( )

查看答案和解析>>

科目:高中数学 来源:2016届安徽省淮南市高三下学期二模理科数学试卷(解析版) 题型:填空题

函数在区间上的最大值是 .

查看答案和解析>>

科目:高中数学 来源:2016届安徽省淮南市高三下学期二模理科数学试卷(解析版) 题型:选择题

将4本完全相同的小说,1本诗集全部分给4名同学,每名同学至少1本书,则不同分法有( )

A.24种 B.28种 C.32种 D.16种

查看答案和解析>>

科目:高中数学 来源:2016届江苏省高三上学期12月月考数学试卷(解析版) 题型:解答题

在数列中,,且对任意的,成等比数列,其公比为

(1)若=2(),求

(2)若对任意的成等差数列,其公差为,设

①求证:成等差数列,并指出其公差;

②若=2,试求数列的前项的和

查看答案和解析>>

科目:高中数学 来源:2016届江苏省高三上学期12月月考数学试卷(解析版) 题型:填空题

已知抛物线所围成的封闭曲线,给定点,若在此封闭曲线上恰有三对不同的点,满足每一对点关于点对称,则实数的取值范围是 .

查看答案和解析>>

科目:高中数学 来源:2016届河北省石家庄市高三二模文科数学试卷(解析版) 题型:解答题

已知椭圆的左、右焦点分别为为该椭圆上任意一点,且的最大值为.

(I)求椭圆的离心率;

(II)已知椭圆的上顶点为,动直线与椭圆交于不同的两点,且,证明:动直线过定点,并求出该定点坐标.

查看答案和解析>>

科目:高中数学 来源:2016届河北省石家庄市高三二模理科数学试卷(解析版) 题型:选择题

设函数,则( )

A.既是奇函数又是减函数 B.既是奇函数又是增函数

C.是增函数且有零点 D.是减函数且没有零点

查看答案和解析>>

同步练习册答案