精英家教网 > 高中数学 > 题目详情

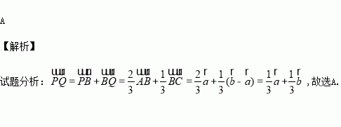
中,分别是的三等分点,且,则( )

A. B. C. D.

练习册系列答案
相关习题

科目:高中数学 来源:2016届江西省九江市高三下学期三模理科数学试卷(解析版) 题型:选择题

是等差数列的前项和,若,则( )

A. B. C. D.

查看答案和解析>>

科目:高中数学 来源:2016届云南省高三适应性月考八理科数学试卷(解析版) 题型:选择题

已知数列满足,且,则的取值范围是( )

A. B. C. D.

查看答案和解析>>

科目:高中数学 来源:2016届西藏日喀则一中高三下学期二模文科数学试卷(解析版) 题型:解答题

某学校高一年级学生某次身体素质体能测试的原始成绩采用百分制,已知所有这些学生的原始成绩均分布在内,发布成绩使用等级制.各等级划分标准见下表.

规定:三级为合格等级,D为不合格等级.为了解该校高一年级学生身体素质情况,从中抽取了名学生的原始成绩作为样本进行统计.按照的分组作出频率分布直方图如图1所示,样本中分数在80分及以上的所有数据的茎叶图如图2所示.

(I)求和频率分布直方图中的的值,并估计该校高一年级学生成绩是合格等级的概率;

(II)在选取的样本中,从两个等级的学生中随机抽取2名学生进行调研,求至少有一名学生是等级的概率.

查看答案和解析>>

科目:高中数学 来源:2016届西藏日喀则一中高三下学期二模文科数学试卷(解析版) 题型:选择题

设函数为偶函数,且,满足,当时,,则当时,( )

A. B. C. D.

查看答案和解析>>

科目:高中数学 来源:2016届西藏日喀则一中高三下学期二模理科数学试卷(解析版) 题型:解答题

某学校高一年级学生某次身体素质体能测试的原始成绩采用百分制,已知所有这些学生的原始成绩均分布在内,发布成绩使用等级制.各等级划分标准见下表.

规定:三级为合格等级,D为不合格等级.为了解该校高一年级学生身体素质情况,从中抽取了名学生的原始成绩作为样本进行统计.按照的分组作出频率分布直方图如图1所示,样本中分数在80分及以上的所有数据的茎叶图如图2所示.

(I)求和频率分布直方图中的的值;

(II)根据样本估计总体的思想,以事件发生的频率作为相应事件发生的概率,若在该校高一学生中任选3人,求至少有1人成绩是合格等级的概率;

(III)在选取的样本中,从两个等级的学生中随机抽取了3名学生进行调研,记表示所抽取的3名学生中为等级的学生人数,求随机变量的分布列及数学期望.

查看答案和解析>>

科目:高中数学 来源:2016届西藏日喀则一中高三下学期二模理科数学试卷(解析版) 题型:填空题

观察下列各式:

……

照此规律,当时,则

查看答案和解析>>

科目:高中数学 来源:2016届江苏省高三考前一周双练三模数学试卷(解析版) 题型:解答题

已知函数),

(1)求的单调区间;

(2)证明:

(3)证明:对任意正数,总存在,当时,都有

查看答案和解析>>

科目:高中数学 来源:2016届四川省高三下三诊考试理科数学试卷(解析版) 题型:解答题

,其中是正常数,且

(1)求函数的最值;

(2)对任意的正数,是否存在正数,使不等式成立?并说明理由;

(3)设,证明:对任意正数都有

查看答案和解析>>

同步练习册答案