精英家教网 > 高中数学 > 题目详情

选修4—5:不等式选讲(本小题满分10分)

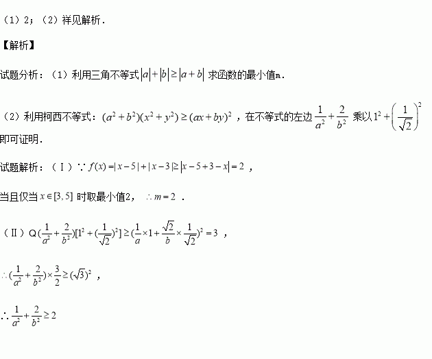
已知函数

(1)求函数的最小值

(2)若正实数满足,求证:

练习册系列答案
相关习题

科目:高中数学 来源:2015-2016学年辽宁省大连市高二上期中理科数学试卷(解析版) 题型:解答题

(本小题满分12分)

(Ⅰ)已知某椭圆的左右焦点分别为,且经过点,求该椭圆的标准方程以及离心率;

(Ⅱ)某圆锥曲线以坐标轴为对称轴,中心为坐标原点,且过点,求该曲线的标准方程、焦点以及离心率;

查看答案和解析>>

科目:高中数学 来源:2015-2016学年河北省邢台市高二上第一次月考数学试卷(解析版) 题型:选择题

如图,在正三棱柱ABC-A1B1C1中,AB=AA1=2,M、N分别是BB1和B1C1的中点,则直线AM与CN所成角的余弦值等于( )

A. B. C. D.

查看答案和解析>>

科目:高中数学 来源:2016届重庆市高三上学期第三次月考文科数学试卷(解析版) 题型:选择题

已知全集,集合,则为( )

A. B. C. D.

查看答案和解析>>

科目:高中数学 来源:2016届云南省玉溪市高三上学期期中文科数学试卷(解析版) 题型:解答题

(本小题满分12分)如图所示,在三棱柱ABC-A1B1C1中,AC⊥BC,AB⊥BB1,AC=BC=BB1=2,D为AB的中点,且CD⊥DA1.

(1)求证:BB1⊥平面ABC;

(2)求三棱锥B1-A1DC的体积.

查看答案和解析>>

科目:高中数学 来源:2016届云南省玉溪市高三上学期期中理科数学试卷(解析版) 题型:选择题

已知为等差数列,若,则的值为( )

A. B. C. D.

查看答案和解析>>

科目:高中数学 来源:2016届辽宁省葫芦岛市高三上学期期中理科数学试卷(解析版) 题型:解答题

(本小题满分12分)已知如图几何体,正方形和矩形所在平面互相垂直,的中点,,垂足为

(Ⅰ)求证:平面

(Ⅱ)求二面角的大小.

查看答案和解析>>

科目:高中数学 来源:2016届黑龙江省牡丹江市高三上学期期中理科数学试卷(解析版) 题型:解答题

(本小题满分12分)已知函数处取得极值。

(1)求的值;

(2)求证:对任意,都有

查看答案和解析>>

科目:高中数学 来源:2016届湖南省株洲市高三上期中理科数学试卷(解析版) 题型:填空题

如图,在平面直角坐标系中,边长为的一组正三角形的底边依次排列在轴上(与坐标原点重合).设是首项为,公差为的等差数列,若所有正三角形顶点在第一象限,且均落在抛物线上,则的值为

查看答案和解析>>

同步练习册答案