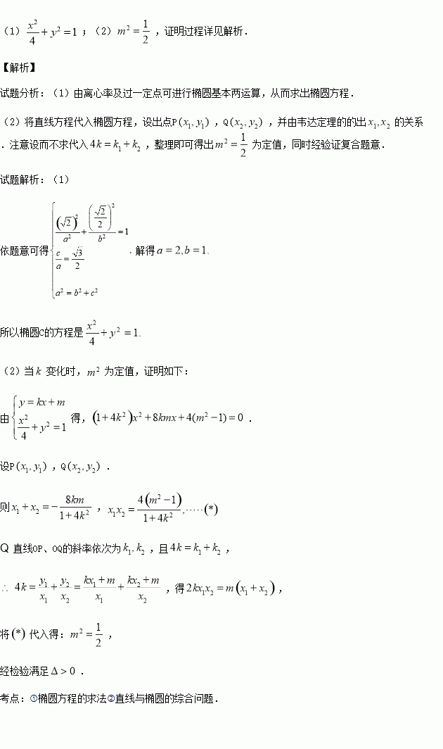
(本小题满分12分)已知椭圆
+
=1(
>
>
)的离心率为
,且过点(
,
).
(1)求椭圆方程;
(2)设不过原点
的直线
:![]()
,与该椭圆交于
、
两点,直线
、
的斜率依次为
、
,满足
,试问:当
变化时,
是否为定值?若是,求出此定值,并证明你的结论;若不是,请说明理由.
科目:高中数学 来源:2016届湖北省等高三9月联考文科数学试卷(解析版) 题型:选择题
已知函数
,对于
上的任意
,有如下条件:①
;
②
;③
.其中能使
恒成立的条件序号是
A.② B.③ C.①② D.②③
查看答案和解析>>
科目:高中数学 来源:2016届福建省四地六校高三上学期10月联考文科数学试卷(解析版) 题型:解答题
(本小题满分10分)设
是等差数列,
是各项都为正数的等比数列,且
,
,
.
(1)求
,
的通项公式;
(2)求数列
,
的前
项和
和![]()
查看答案和解析>>
科目:高中数学 来源:2013-2014学年辽宁省高考前最后模拟理科数学试卷(解析版) 题型:解答题
(本小题满分12分)一个盒子中装有大小相同的小球
个,在小球上分别标有
,
,
,
,
的号码,已知从盒子中随机地取出
个球,
个球的号码最大值为
的概率为
.
(1)求
的值;
(2)现从盒子中随机地取出
个球,记所取
个球的号码中,连续自然数的个数的最大值为随机变量
(如取
时,
;取
时,或取
时,
;取
时,
).
求
的值;
求随机变量
的分布列及期望.
查看答案和解析>>
科目:高中数学 来源:2016届辽宁省五校协作体高三上学期期初考试文科数学试卷(解析版) 题型:解答题
(本小题满分12分)如图,在△ABC中,
点D在线段AC上,且
,
![]()
(Ⅰ)求
;
(Ⅱ)求BC和AC的长
查看答案和解析>>
科目:高中数学 来源:2016届辽宁省五校协作体高三上学期期初考试理科数学试卷(解析版) 题型:选择题
设集合
则
=( )
A.{0,1,2,3,} B.{5} C.{1,2,4} D.{0,4,5}
查看答案和解析>>
科目:高中数学 来源:2016届河南省郑州市高三上学期联考文科数学试卷(解析版) 题型:解答题
选修4-4:坐标系与参数方程
在直角坐标系
中,直线
的方程为
,曲线
的参数方程为
(
为参数).
(1)已知在极坐标系(与直角坐标系
取相同的长度单位,且以原点
为极点,以x轴正半轴为极轴)中,点
的极坐标为
,判断点
与直线
的位置关系;
(2)设点
为曲线
上的一个动点,求它到直线
的距离的最小值.
查看答案和解析>>
科目:高中数学 来源:2015-2016年湖北武汉华中师大一附高二上期中文科数学卷(解析版) 题型:选择题
已知抛物线
的焦点为F,准线为l,P是l上一点,Q是直线PF与C的一个交点,若
,则
( )
A.
B.
C.3 D.6
查看答案和解析>>
湖北省互联网违法和不良信息举报平台 | 网上有害信息举报专区 | 电信诈骗举报专区 | 涉历史虚无主义有害信息举报专区 | 涉企侵权举报专区
违法和不良信息举报电话:027-86699610 举报邮箱:58377363@163.com