精英家教网 > 高中物理 > 题目详情

一轻质弹簧竖直固定在地面上,上面连接一个质量为m1=1kg的物体,平衡时物体离地面0.9m,弹簧所具有的弹性势能为0.5J。现在在距物体m1正上方高为0.3m处有一个质量为m2=1kg的物体自由下落后与弹簧上物体m1碰撞立即合为一体,一起向下压缩弹簧。当弹簧压缩量最大时,弹簧长为0.6m。求(g取10m/s2):


①碰撞结束瞬间两物体的动能之和是多少?

②弹簧长为0.6m时弹簧的弹性势能大小?


【知识点】  动量守恒定律;功能关系.E6 F3

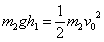
【答案解析】①1.5J.②8J.  解析: ①m2自由下落: 可解得:

碰撞由动量守恒:  可解得:

碰后的动能:

②m1与m2共同下降的高度

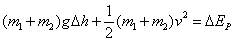
由机械能守恒得:

解得

所以弹性势能为8J

【思路点拨】(1)由自由落体运动的公式求出物体m2碰撞前的速度.两物体碰撞过程遵守动量守恒,由动量守恒定律求出碰撞后两物体的速度,再求碰撞结束瞬间两物体的动能之和.(2)由机械能守恒定律可以求出弹簧的弹性势能.本题考查了求动能与探索势能,分析清楚物体运动过程,应用机械能守恒定律与动量守恒定律即可正确解题.


练习册系列答案
相关习题

科目:高中物理 来源: 题型:


如图所示,空气中有一折射率为的玻璃柱体,其横截面是圆心角为90°、半径为R的扇形OAB.一束平行光平行于横截面,以45°入射角照射到OA上,OB不透光.若只考虑首次入射到圆弧AB上的光,则AB上有光透出部分的弧长为多长?

查看答案和解析>>

科目:高中物理 来源: 题型:


如图所示,d处固定有负点电荷Q,一个带电质点只在电场力作用下运动,射A此区域时的轨迹为图中曲线abc,a、b、c、d恰好是一正方形的四个顶点,则下列说法正确的是(  )

 

A.

质点由a到c,电势能先增加后减小,在b点动能最小

 

B.

a、b、c三点处电势高低关系是φa=φc>φb

 

C.

质点在a、b、c三点处的加速度大小之比为1:2:1

 

D.

若将d处的点电荷改为+Q,该带电质点的轨迹仍可能为曲线abc

查看答案和解析>>

科目:高中物理 来源: 题型:


平行板电容器的两板A、B接于电池两极,一个带正电小球用绝缘细线悬挂在电容器内部,闭合电键S,电容器充电,这时悬线偏离竖直方向夹角为θ,如图所示,那么(     )

A.保持电键S闭合,将A板稍向B板靠近,则θ增大

B.保持电键S闭合,将A板稍向上移,则θ减小

C.电键S断开,将A板稍向B板靠近,则θ不变

D.电键S断开,将A板稍向上移,则θ减小

查看答案和解析>>

科目:高中物理 来源: 题型:


关于分子动理论的规律,下列说法正确的是               (有三个选项正确,选对一个得2分,选对两个得4分,选对三个得5分,选错一个扣3分,最低得0分)

A.扩散现象说明物质分子在做永不停息的无规则运动

B.压缩气体时气体会表现出抗拒压缩的力是由于气体分子间存在斥力的缘故

C.两个分子距离减小时,分子间引力和斥力都在增大

D.如果两个系统分别于第三个系统达到热平衡,那么这两个系统彼此之间也必定处于热平衡,用来表征它们所具有的“共同热学性质”的物理量叫做内能

E.两个分子间的距离为r0时,分子势能最小

查看答案和解析>>

科目:高中物理 来源: 题型:


如图甲所示,一个圆形线圈的匝数n =100,线圈面积S=200cm2,线圈的电阻r=1Ω,线圈外接一个阻值R=4Ω的电阻,把线圈放入一方向垂直线圈平面向里的匀强磁场中,磁感应强度随时间变化规律如图乙所示。

下列说法中正确的是

A.线圈中的感应电流方向为顺时针方向

B.电阻R两端的电压随时间均匀增大

C.线圈电阻r消耗的功率为4×10-4W

D.前4s内通过R的电荷量为4×10-4C

查看答案和解析>>

科目:高中物理 来源: 题型:


如图所示,空间存在一个半径为R0的圆形匀强磁场区域,磁场的方向垂直于纸面向里,磁感应强度的大小为B.有一个粒子源在纸面内沿各个方向以一定速率发射大量粒子,粒子的质量为m、电荷量为+q.将粒子源置于圆心,则所有粒子刚好都不离开磁场,不考虑粒子之间的相互作用.

(1)求带电粒子的速率.

(2)若粒子源可置于磁场中任意位置,且磁场的磁感应强度大小变为,求粒子在磁场中最长的运动时间t.

(3)若原磁场不变,再叠加另一个半径为R1(R1> R0)圆形匀强磁场,磁场的磁感应强度的大小为B/2,方向垂直于纸面向外,两磁场区域成同心圆,此时该离子源从圆心出发的粒子都能回到圆心,求R1的最小值和粒子运动的周期T.

查看答案和解析>>

科目:高中物理 来源: 题型:


光滑水平面上,足够长的木板质量M=8kg,由静止开始在水平恒力F=8N作用下向右运动,如图所示,当速度达到1.5m/s时,质量m=2kg的物体轻轻放到木板的右端.已知物体与木板之间的动摩擦因数μ=0.2.取g=10m/s2.求:

(1)物体放到木板上以后,经多长时间物体与木板相对静止?在这段时间里,物体相对木板滑动的距离多大?

(2)在物体与木板相对静止以后,它们之间的摩擦力多大?

查看答案和解析>>

科目:高中物理 来源: 题型:


下面几个实验都用到了打点计时器或电火花计时器:

①运用装置甲完成“探究功与速度变化的关系”实验

②运用装置乙完成“验证机械能守恒定律”实验

③运用装置丙可以完成“探究小车速度随时间变化的规律”实验

④运用装置丙可以完成“探究加速度与力、质量的关系”实验

(1)运用装置丙完成“探究小车速度随时间变化的规律“实验是否需要平衡摩擦阻力? 否 (填“是”或“否”)

(2)如图丁为某同学在一次实验中打出的一条纸带的部分,若所用电源的频率为50Hz,图中刻度尺的最小分度为1mm,请问该条纸带是以上四个实验哪一个实验时得到的? 验证机械能守恒定律的实验 (填实验的名称)

(3)由如图丁的测量,打C点时纸带对应的速度为 1.50 m/s(保留三位有效数字).

查看答案和解析>>

同步练习册答案