题目列表(包括答案和解析)

 0  66754  66762  66768  66772  66778  66780  66784  66790  66792  66798  66804  66808  66810  66814  66820  66822  66828  66832  66834  66838  66840  66844  66846  66848  66849  66850  66852  66853  66854  66856  66858  66862  66864  66868  66870  66874  66880  66882  66888  66892  66894  66898  66904  66910  66912  66918  66922  66924  66930  66934  66940  66948  447348 

1.四边形ABCD中,如果∠A+∠C+∠D=280°,则∠B的度数是(  )

   A.80°   B.90°   C.170°   D.20°

试题详情

7.3  多边形及其内角和

基础过关作业

试题详情

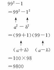
2.利用公式计算:992-1

点拨:可分别用完全平方公式或平方差公式两种方法得到相同的答案.

解法一:利用完全平方公式

992-1=(100-1)2-1=1002-2×100×1+1-1=10000-200=9800

解法二:用平方差公式

试题详情

1.已知:a+b=-5,ab=-6,求a2+b2.

点拨:同时存在a+b,ab,a2+b2的公式为完全平方公式(a+b)2=a2+2ab+b2,将题目中所给条件分别看作整体,代入公式即可.

注意:Ⅰ.不要分别求出ab,运算繁琐.

Ⅱ.若已知a+b(或a-b),ab,a2+b2中的二者,都可利用完全平方公式求出第三者.

解:a2+b2=(a+b)2-2ab

a+b=-5,ab=-6时

原式=(-5)2-2×(-6)=25+12=37.

试题详情

2.用拼图解释平方差公式

图1-4

左图阴影面积是a2-b2,而右图的阴影部分是长方形,长为(a+b),宽(a-b),阴影面积为(a+b)(a-b),由于左右两图的阴影部分面积相同,所以a2-b2=(a+b)(a-b),再次验证了平方差公式.

试题详情

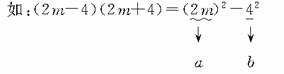
1.平方差公式

(1)公式:(a+b)(a-b)=a2-b2

两数和与这两数差的积,等于它们的平方差.

(2)特征:

①左边:二项式乘以二项式,两数(ab)的和与它们差的乘积.

②右边:这两数的平方差.

(3)找ab的简便方法

由于(a+b)(a-b)可看作(a+b)[a+(-b)],所以在这两个多项式中,a是相同的,而b与-b是互为相反数,那么a2-b2就可看作是符号相同的项(a)的平方减去符号相反的项(b与-b)的平方.

因此,运用平方差公式进行运算,关键是找出两个相乘的二项式中相同的项作为a,互为相反的项作为b.

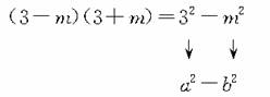
如(3-m)(3+m)中,“3”与“3”相同,作为a,而“-m”与“m”相反,任选其一作为b,那么

(4)平方差公式中的ab可以代表一个字母,一个数字或单项式.

注意:当ab代表单项式时,进行平方时底数一定要打括号.

试题详情

14.收集一些校园附近有代表性的建筑,绘制出相关的平面分布图.

试题详情

13.求以点(0,3)为圆心,5为半径的圆与x轴、y轴的四个交点的坐标.

试题详情

12.边长为5的等边三角形ABC,以B点为原点,以BC边所在的直线为x轴建立直角坐标系写出A、B、C各点的坐标.

试题详情

11.直角坐标系中,点P(x,y),xy<0,x<y,且P到x轴、y轴的距离分别为3,7,则P点的坐标为(  )

   A.(-3,-7)   B.(-7,3)   C.(3,-7)   D.(7,-3)

试题详情


同步练习册答案