¡¾ÌâÄ¿¡¿Èçͼ£¬ÔÚÆ½ÃæÖ±½Ç×ø±êϵÖУ¬AB¡ÎCD¡ÎxÖᣬBC¡ÎDE¡ÎyÖᣬÇÒAB£½CD£½4 cm£¬OA£½5 cm£¬DE£½2 cm£¬¶¯µãP´ÓµãA³ö·¢£¬ÒÔÿÃë1 cmµÄËÙ¶È£¬ÑØABC·ÏßÏòµãCÔ˶¯£»¶¯µãQ´ÓµãO³ö·¢£¬ÒÔÿÃë2 cmµÄËÙ¶È£¬ÑØOED·ÏßÏòµãDÔ˶¯£®ÈôP£¬QÁ½µãͬʱ³ö·¢£¬ÆäÖÐÒ»µãµ½´ïÖÕµãʱ£¬Ô˶¯Í£Ö¹£®
(1)Ö±½Óд³öB£¬C£¬DÈý¸öµãµÄ×ø±ê£»
(2)µ±P£¬QÁ½µã³ö·¢3 sʱ£¬ÇóÈý½ÇÐÎPQCµÄÃæ»ý£»
(3)ÉèÁ½µãÔ˶¯µÄʱ¼äΪt s£¬Óú¬tµÄʽ×Ó±íʾÔ˶¯¹ý³ÌÖÐÈý½ÇÐÎOPQµÄÃæ»ý£®
![]()
¡¾´ð°¸¡¿£¨1£©B£¨4£¬5£©£¬C£¨4£¬2£©£¬D£¨8£¬2£©£»£¨2£©2£»£¨3£©
.
¡¾½âÎö¡¿
£¨1£©¸ù¾ÝÆ½ÃæÖ±½Ç×ø±êϵд³ö¸÷µãµÄ×ø±ê¼´¿É£»
£¨2£©ÏÈÇó³öµãP¡¢QµÄ×ø±ê£¬ÔÙÇó³öCP¡¢CQ£¬È»ºó¸ù¾ÝÈý½ÇÐεÄÃæ»ý¹«Ê½ÁÐʽ¼ÆËã¼´¿ÉµÃ½â£»
£¨3£©ÓÉÌâÒâµãP´ÓAÔ˶¯µ½CÓÃʱÐèÒª7Ã룬µãQ´ÓOÔ˶¯µ½DÓÃʱÐèÒª5Ã룬¸ù¾ÝÆäÖÐÒ»µãµ½´ïÖÕµãʱ£¬Ô˶¯Í£Ö¹£¬¿ÉÖªÔ˶¯Ê±¼ätµÄȡֵ·¶Î§Îª0¡Üt¡Ü5£¬È»ºó·ÖÁ½ÖÖÇé¿öÌÖÂÛ¼´¿É.Á½ÖÖÇé¿ö·Ö±ðΪ¢Ù0¡Üt£¼4£¬´ËʱµãPÔÚABÉÏ£¬µãQÔÚOEÉÏ£»¢Ú4¡Üt¡Ü5£¬´ËʱµãPÔÚBCÉÏ£¬µãQÔÚDEÉÏ.
(1)¡ßAB¡ÎCD¡ÎxÖᣬBC¡ÎDE¡ÎyÖᣬÇÒAB=CD=4£¬OA=5£¬DE=2£¬
4+4=8£¬
¡àB(4£¬5)£¬C(4£¬2)£¬D(8£¬2)£»
(2)µ±P£¬QÁ½µãÔ˶¯3 sʱ£¬Èçͼ1£¬´ËʱµãP(3£¬5)£¬Q(6£¬0)£¬
ÒòΪC(4£¬2)£¬¹ýµãP×÷PM¡ÍxÖᣬÑÓ³¤BC½»xÖáÓÚµãN£¬ÑÓ³¤DC½»PMÓÚµãK£¬
ÔòÓÐM(3£¬0)£¬N£¨4£¬0£©£¬K£¨3£¬2£©£¬
ËùÒÔQM£½MQ=3£¬CK=MN=1£¬PK=BC=3£¬CN=NQ=2£¬
ËùÒÔÈý½ÇÐÎPQCµÄÃæ»ý£½
¡Á3¡Á5£
¡Á1¡Á3£
¡Á2¡Á2£2¡Á1£½2£»
(3)µãPÔ˶¯µÄ·¾¶³¤ÎªAB+BC=4+3=7£¬ÓÃʱÐèÒª7Ã룬
µãQÔ˶¯µÄ·¾¶³¤ÎªOE+DE=8+2=10£¬ÓÃʱÐèÒª5Ã룬
¸ù¾ÝÆäÖÐÒ»µãµ½´ïÖÕµãʱ£¬Ô˶¯Í£Ö¹£¬¿ÉÖªÔ˶¯Ê±¼ätµÄȡֵ·¶Î§Îª0¡Üt¡Ü5£»
¢Ùµ±0¡Üt£¼4ʱ(Èçͼ2)£¬OA£½5£¬OQ£½2t£¬
SÈý½ÇÐÎOPQ£½
OQOA£½
¡Á2t¡Á5£½5t£»¡¡¡¡
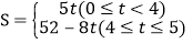
¢Úµ±4¡Üt¡Ü5ʱ(Èçͼ3)£¬OE£½8£¬EM£½9£t£¬PM£½4£¬MQ£½17£3t£¬EQ£½2t£8£¬
SÈý½ÇÐÎOPQ£½SÌÝÐÎOPME£SÈý½ÇÐÎPMQ£SÈý½ÇÐÎOEQ
£½
¡Á(4£«8)¡Á(9£t)£
¡Á4¡Á(17£3t)£
¡Á8¡Á(2t£8)
£½52£8t£¬
×ÛÉÏ£¬
.
| Äê¼¶ | ¸ßÖÐ¿Î³Ì | Äê¼¶ | ³õÖÐ¿Î³Ì |
| ¸ßÒ» | ¸ßÒ»Ãâ·Ñ¿Î³ÌÍÆ¼ö£¡ | ³õÒ» | ³õÒ»Ãâ·Ñ¿Î³ÌÍÆ¼ö£¡ |
| ¸ß¶þ | ¸ß¶þÃâ·Ñ¿Î³ÌÍÆ¼ö£¡ | ³õ¶þ | ³õ¶þÃâ·Ñ¿Î³ÌÍÆ¼ö£¡ |
| ¸ßÈý | ¸ßÈýÃâ·Ñ¿Î³ÌÍÆ¼ö£¡ | ³õÈý | ³õÈýÃâ·Ñ¿Î³ÌÍÆ¼ö£¡ |
¿ÆÄ¿£º³õÖÐÊýѧ À´Ô´£º ÌâÐÍ£º
¡¾ÌâÄ¿¡¿ÔÚÆ½ÃæÖ±½Ç×ø±êϵÖУ¬µãA£¨2£¬0£©£¬B£¨0£¬4£©£¬×÷¡÷BOC£¬Ê¹¡÷BOCÓë¡÷ABOÈ«µÈ£¬ÔòµãC×ø±êΪ_____________£®£¨µãC²»ÓëµãAÖØºÏ£©
²é¿´´ð°¸ºÍ½âÎö>>
¿ÆÄ¿£º³õÖÐÊýѧ À´Ô´£º ÌâÐÍ£º
¡¾ÌâÄ¿¡¿ÒÑÖªÈçͼ£¬Ö±ÏßAB¡¢CDÏཻÓÚµãO£¬¡ÏCOE=90¡ã£¬Èô¡ÏBOD:¡ÏBOC=1:5£®
£¨1£©Çó¡ÏAOCµÄ¶ÈÊý£»
£¨2£©Èçͼ£¬¹ýµãO×÷OF¡ÍAB,Çó¡ÏDOFÓë¡ÏEOFµÄ¶ÈÊý£®
![]()
²é¿´´ð°¸ºÍ½âÎö>>
¿ÆÄ¿£º³õÖÐÊýѧ À´Ô´£º ÌâÐÍ£º
¡¾ÌâÄ¿¡¿(±¾ÌâÂú·Ö10·Ö)ÔĶÁÏÂÁвÄÁÏ£º
£¨1£©¹ØÓÚxµÄ·½³Ìx2-3x+1=0£¨x¡Ù0£©·½³ÌÁ½±ßͬʱ³ËÒÔ
µÃ£º
¼´
£¬
£¬
£¨2£©a3+b3=£¨a+b£©£¨a2-ab+b2£©£»a3-b3=£¨a-b£©£¨a2+ab+b2£©£®
¸ù¾ÝÒÔÉϲÄÁÏ£¬½â´ðÏÂÁÐÎÊÌ⣺
£¨1£©x2-4x+1=0£¨x¡Ù0£©£¬Ôò
= ______ £¬
= ______ £¬
= ______ £»
£¨2£©2x2-7x+2=0£¨x¡Ù0£©£¬Çó
µÄÖµ£®
²é¿´´ð°¸ºÍ½âÎö>>
¿ÆÄ¿£º³õÖÐÊýѧ À´Ô´£º ÌâÐÍ£º
¡¾ÌâÄ¿¡¿ÎÊÌâ̽¾¿£º
£¨1£©Èçͼ¢Ù£¬±ß³¤Îª4µÄµÈ±ß¡÷OABλÓÚÆ½ÃæÖ±½Ç×ø±êϵÖУ¬½«¡÷OABÕÛµþ£¬Ê¹µãBÂäÔÚOAµÄÖе㴦£¬ÔòÕÛºÛ³¤Îª£»![]()
£¨2£©Èçͼ¢Ú£¬¾ØÐÎOABCλÓÚÆ½ÃæÖ±½Ç×ø±êϵÖУ¬ÆäÖÐOA=8£¬AB=6£¬½«¾ØÐÎÑØÏß¶ÎMNÕÛµþ£¬µãBÂäÔÚxÖáÉÏ£¬ÆäÖÐAN=
AB£¬ÇóÕÛºÛMNµÄ³¤£»![]()
£¨3£©Èçͼ¢Û£¬ËıßÐÎOABCλÓÚÆ½ÃæÖ±½Ç×ø±êϵÖУ¬ÆäÖÐOA=AB=6£¬CB=4£¬BC¡ÎOA£¬AB¡ÍOAÓÚµãA£¬µãQ£¨4£¬3£©ÎªËıßÐÎÄÚ²¿Ò»µã£¬½«ËıßÐÎÕÛµþ£¬Ê¹µãBÂäÔÚxÖáÉÏ£¬ÎÊÊÇ·ñ´æÔÚ¹ýµãQµÄÕÛºÛ£¬Èô´æÔÚ£¬Çó³öÕÛºÛ³¤£¬Èô²»´æÔÚ£¬Çë˵Ã÷ÀíÓÉ£®![]()
²é¿´´ð°¸ºÍ½âÎö>>
¿ÆÄ¿£º³õÖÐÊýѧ À´Ô´£º ÌâÐÍ£º
¡¾ÌâÄ¿¡¿Ð¡Ã÷ÊÜ¡¶ÎÚÑ»ºÈË®¡·¹ÊÊÂµÄÆô·¢£¬ÀûÓÃÁ¿Í²ºÍÌå»ýÏàͬµÄСÇò½øÐÐÁËÈçϲÙ×÷£º
![]()
Çë¸ù¾ÝͼÖиø³öµÄÐÅÏ¢£¬½â´ðÏÂÁÐÎÊÌ⣺
(1)·ÅÈëÒ»¸öСÇò£¬Á¿Í²ÖÐË®ÃæÉý¸ß_____________________________ cm£»
(2)Á¿Í²ÖÐÖÁÉÙ·ÅÈ뼸¸öСÇòʱÓÐË®Òç³ö£¿
²é¿´´ð°¸ºÍ½âÎö>>
¿ÆÄ¿£º³õÖÐÊýѧ À´Ô´£º ÌâÐÍ£º
¡¾ÌâÄ¿¡¿Èçͼ£¬ÒÑÖªBCÊÇ¡÷ABDµÄ½Çƽ·ÖÏߣ¬BC=DC£¬¡ÏA=¡ÏE=30¡ã£¬¡ÏD=50¡ã£®
£¨1£©Ð´³öAB=DEµÄÀíÓÉ£»
£¨2£©Çó¡ÏBCEµÄ¶ÈÊý£®
![]()
²é¿´´ð°¸ºÍ½âÎö>>
¿ÆÄ¿£º³õÖÐÊýѧ À´Ô´£º ÌâÐÍ£º
¡¾ÌâÄ¿¡¿Èçͼ£¬ÒÑÖªÖ±Ïßy=ax+bÓëË«ÇúÏßy=
£¨x£¾0£©½»ÓÚA£¨x1 £¬ y1£©£¬B£¨x2 £¬ y2£©Á½µã£¨AÓëB²»Öغϣ©£¬Ö±ÏßABÓëxÖá½»ÓÚP£¨x0 £¬ 0£©£¬ÓëyÖá½»ÓÚµãC£® ![]()
£¨1£©ÈôA£¬BÁ½µã×ø±ê·Ö±ðΪ£¨1£¬3£©£¬£¨3£¬y2£©£¬ÇóµãPµÄ×ø±ê£®
£¨2£©Èôb=y1+1£¬µãPµÄ×ø±êΪ£¨6£¬0£©£¬ÇÒAB=BP£¬ÇóA£¬BÁ½µãµÄ×ø±ê£®
£¨3£©½áºÏ£¨1£©£¬£¨2£©ÖеĽá¹û£¬²ÂÏë²¢ÓõÈʽ±íʾx1 £¬ x2 £¬ x0Ö®¼äµÄ¹ØÏµ£¨²»ÒªÇóÖ¤Ã÷£©£®
²é¿´´ð°¸ºÍ½âÎö>>
¿ÆÄ¿£º³õÖÐÊýѧ À´Ô´£º ÌâÐÍ£º
¡¾ÌâÄ¿¡¿Èçͼ£¬ÒÑÖªËıßÐÎABCDÊÇÆ½ÐÐËıßÐΣ¬ÔòÏÂÁнáÂÛÖв»ÕýÈ·µÄÊÇ(¡¡¡¡)
![]()
A. µ±AB£½BCʱ£¬ËıßÐÎABCDÊÇÁâÐÎ
B. µ±AC¡ÍBDʱ£¬ËıßÐÎABCDÊÇÁâÐÎ
C. µ±¡ÏABC£½90¡ãʱ£¬ËıßÐÎABCDÊǾØÐÎ
D. µ±AC£½BDʱ£¬ËıßÐÎABCDÊÇÕý·½ÐÎ
²é¿´´ð°¸ºÍ½âÎö>>
¹ú¼ÊѧУÓÅÑ¡ - Á·Ï°²áÁбí - ÊÔÌâÁбí
ºþ±±Ê¡»¥ÁªÍøÎ¥·¨ºÍ²»Á¼ÐÅÏ¢¾Ù±¨Æ½Ì¨ | ÍøÉÏÓк¦ÐÅÏ¢¾Ù±¨×¨Çø | µçÐÅթƾٱ¨×¨Çø | ÉæÀúÊ·ÐéÎÞÖ÷ÒåÓк¦ÐÅÏ¢¾Ù±¨×¨Çø | ÉæÆóÇÖȨ¾Ù±¨×¨Çø
Î¥·¨ºÍ²»Á¼ÐÅÏ¢¾Ù±¨µç»°£º027-86699610 ¾Ù±¨ÓÊÏ䣺58377363@163.com