精英家教网 > 初中数学 > 题目详情

【题目】如图,在平面直角坐标系中,△ABC为等腰直角三角形,∠ACB=90°,抛物线y=﹣x2+bx+c经过A,B两点,其中点A,C的坐标分别为(1,0),(﹣4,0),抛物线的顶点为点D.

(1)求抛物线的解析式;
(2)点E是直角三角形ABC斜边AB上的一个动点(不与A,B重合),过点E作x轴的垂线,交抛物线于点F,当线段FE的长度最大时,求点E的坐标;
(3)在(2)的条件下,抛物线上是否存在一点P,使△PEF是以EF为直角边的直角三角形?若存在,求出所有点P的坐标;若不存在,请说明理由.

【答案】
(1)解:∵A,C的坐标分别为(1,0),(﹣4,0),

∴AC=5.

∵△ABC为等腰直角三角形,∠C=90°,

∴BC=AC=5.

∴B(﹣4,﹣5).

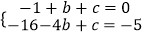
将点A和点B的坐标代入得: ,解得:

∴抛物线的解析式为y=﹣x2﹣2x+3.


(2)解:如图1所示:

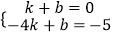
设直线AB的解析式为y=kx+b,将点A和点B的坐标代入得: ,解得:k=1,b=﹣1.

所以直线AB的解析式为y=x﹣1.

设点E的坐标为(t,t﹣1),则点F的坐标为(t,﹣t2﹣2t+3).

∴EF=﹣t2﹣2t+3﹣(t﹣1)=﹣t2﹣3t+4=(t+ 2+

∴当t=﹣ 时,FE取最大值 ,此时,点E的坐标为(﹣ ,﹣ ).


(3)解:存在点P,能使△PEF是以EF为直角边的直角三角形.

理由:如图所示:过点F作直线a⊥EF,交抛物线于点P,过点E作直线b⊥EF,交抛物线P′、P″.

由(2)可知点E的坐标为(t,t﹣1),则点F的坐标为(t,﹣t2﹣2t+3),t=﹣

∴点E(﹣ ,﹣ )、F(﹣ ).

①当﹣t2﹣2t+3= 时,解得:x=﹣ 或x=﹣ (舍去).

∴点P的坐标为(﹣ ).

②当﹣t2﹣2t+3=﹣ 时,解得:x=﹣1+ 或x=﹣1﹣

∴点P′(﹣1﹣ ,﹣ ),P″(﹣1+ ,﹣ ).

综上所述,点P的坐标为(﹣ )或(﹣1﹣ ,﹣ )或P″(﹣1+ ,﹣ ).


【解析】(1)要求解析式关键在于求B点坐标,由△ABC为等腰直角三角形,∠C=90°,BC=AC=5.可求出B(﹣4,﹣5),把A、B坐标代入解析式即可;(2)求最值问题可化归为函数最值问题,因此须构建以E点横坐标t为自变量、EF长度为因变量的函数,用t的代数式表示EF,EF是竖直线段,其长度可用上端点纵坐标减下端点纵坐标,构建函数后,若是二次函数可用配方法求出最值;(3)以EF为直角边的直角三角形可分为两类:以E为直角顶点;以F为直角顶点;因此须过E、F分别作EF的垂线 与抛物线的交点就是P点.

练习册系列答案
相关习题

科目:初中数学 来源: 题型:

【题目】为保护美丽如画的邛海湿地,西昌市污水处理厂决定先购买两型污水处理设备共20台,对湿地周边污水进行处理.每台型污水处理设备12万,每台型污水处理设备10万,已知2型污水处理设备和1型污水处理设备每周处理污水680吨,3型污水处理设备和2型污水处理设备每周处理污水1120吨.

1)求每台型污水处理设备每周分别可以处理污水多少吨?

2)经预算,污水处理厂购买设备的资金不超过230万元,每周处理污水的量不低于4500吨,请列举出所有购买方案,并指出所需购买资金最少的方案及最少资金.

查看答案和解析>>

科目:初中数学 来源: 题型:

【题目】在正方形网格中建立如图所示的平面直角坐标系xOy.△ABC的三个顶点都在格点上,点A的坐标是(4,4),请解答下列问题:

(1)将△ABC向下平移5个单位长度,画出平移后的A1B1C1,并写出点A的对应点A1的坐标;

(2)画出△A1B1C1关于y轴对称的△A2B2C2;

(3)将△ABC绕点C逆时针旋转90°,画出旋转后的△A3B3C.

查看答案和解析>>

科目:初中数学 来源: 题型:

【题目】英国《?》杂志最近对30部手机进行了检测,结果发现有近四分之一的手机携带的细菌数量达到可接受数量的10倍,其中一部最脏的手机一度让它的主人出现严重消化不良.在手机上发现的有害细菌中,最为常见的有害细菌当属金黄色葡萄球菌.这种细菌可导致一系列感染,金黄色葡萄球菌为球形,直径左右,00000008米这个数用科学记数法表示为(

A.B.C.D.

查看答案和解析>>

科目:初中数学 来源: 题型:

【题目】如图,已知△ABC中,AD⊥BC于点D,AE为∠BAC的平分线,且∠B=36°,∠C=66°.求∠DAE的度数.

查看答案和解析>>

科目:初中数学 来源: 题型:

【题目】请认真阅读下面的数学小探究系列,完成所提出的问题:

(1)探究1,如图①,在等腰直角三角形ABC中,∠ACB=90°,BC=3,将边AB绕点B顺时针旋转90°得到线段BD,连接CD,过点D做BC边上的高DE,则DE与BC的数量关系是   ,△BCD的面积为   

(2)探究2,如图②,在一般的Rt△ABC中,∠ACB=90°,BC=a,将边AB绕点B顺时针旋转90°得到线段BD,连接CD,请用含a的式子表示△BCD的面积,并说明理由;

(3)探究3:如图③,在等腰三角形ABC中,AB=AC,BC=a,将边AB绕点B顺时针旋转90°得到线段BD,连接CD,试探究用含a的式子表示△BCD的面积,要有探究过程.

查看答案和解析>>

科目:初中数学 来源: 题型:

【题目】如图,在△ABC中,∠C=90°,AM=CM,MP⊥AB于点P.求证:BP2=AP2+BC2.

查看答案和解析>>

科目:初中数学 来源: 题型:

【题目】如图,AB是半圆O的直径,点C是 的中点,点D是 的中点,连接AC,BD交于点E,则 =( )

A.
B.
C.1﹣
D.

查看答案和解析>>

科目:初中数学 来源: 题型:

【题目】某校为了了解七年级学生课外活动情况,随机调查了该校若干名学生,调查他们喜欢各类课外活动的情况(课外活动分为四类:A﹣﹣喜欢打乒乓球的人,B﹣﹣喜欢踢足球的人,C﹣﹣喜欢打篮球的人,D﹣﹣喜欢其他的人),并将调查结果绘制成如下两幅不完整的统计图.

根据统计图信息完成下列问题:
(1)调查的学生人数为人.
(2)补全条形统计图和扇形统计图.
(3)若该校七年级共有600人,请估计七年级学生中喜欢打乒乓球的人数.

查看答案和解析>>

同步练习册答案