精英家教网 > 初中数学 > 题目详情

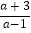
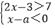
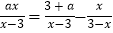
【题目】若关于x的方程 的解为整数,且不等式组 无解,则所有满足条件的非负整数a的和为_____

【答案】7

【解析】

先把a当常数解分式方程,x=,再将a当常数解不等式组,根据不等式组无解得:a≤5,找出当a为非负整数时,x也是整数的值时,确定a的值并相加即可.

解:

去分母,方程两边同时乘以x3

ax3+a+x

x,且x≠3

由①得:x5

由②得:xa

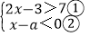
∵不等式组 无解,

a≤5

a0时,x=﹣3

a1时,x无意义,

a2时,x5

a3时,x3分式方程无解,不符合题意,

a4时,x

a5时,x2

x是整数,a是非负整数,

a025

所有满足条件的非负整数a的和为7

故答案为:7

练习册系列答案
相关习题

科目:初中数学 来源: 题型:

【题目】已知抛物线的对称轴为,与轴的一个交点在之间,其部分图像如图所示,则下列结论:①点是该抛物线上的点,则为任意实数).其中正确结论的个数是( )

A. 0B. 1C. 2D. 3

查看答案和解析>>

科目:初中数学 来源: 题型:

【题目】如图,已知抛物线>0)与轴交于A,B两点(A点在B点的左边),与轴交于点C。

(1)如图1,若△ABC为直角三角形,求的值;

(2)如图1,在(1)的条件下,点P在抛物线上,点Q在抛物线的对称轴上,若以BC为边,以点B,C,P,Q为顶点的四边形是平行四边形,求P点的坐标;

(3)如图2,过点A作直线BC的平行线交抛物线于另一点D,交轴交于点E,若AE:ED=1:4,求的值.

查看答案和解析>>

科目:初中数学 来源: 题型:

【题目】

在复习《反比例函数》一课时,同桌的小明和小芳有一个间题观点不一致,小明认为如果两次分别从l6六个整数中任取一个数,第一个数作为点的横坐标,第二个数作为点的纵坐标,则点在反比例函数的的图象上的概率一定大于在反比例函数的图象上的概率,而小芳却认为两者的概率相同.你赞成谁的观点?

(1)试用列表或画树状图的方法列举出所有点的情形;

(2)分别求出点在两个反比例函数的图象上的概率,并说明谁的观点正确.

查看答案和解析>>

科目:初中数学 来源: 题型:

【题目】知识背景

a0x0时,因为(20,所以x﹣2+0,从而x+(当x=时取等号).

设函数y=x+(a0,x0),由上述结论可知:当x=时,该函数有最小值为2

应用举例

已知函数为y1=x(x0)与函数y2=(x0),则当x==2时,y1+y2=x+有最小值为2=4.

解决问题

(1)已知函数为y1=x+3(x﹣3)与函数y2=(x+3)2+9(x﹣3),当x取何值时,有最小值?最小值是多少?

(2)已知某设备租赁使用成本包含以下三部分:一是设备的安装调试费用,共490元;二是设备的租赁使用费用,每天200元;三是设备的折旧费用,它与使用天数的平方成正比,比例系数为0.001.若设该设备的租赁使用天数为x天,则当x取何值时,该设备平均每天的租货使用成本最低?最低是多少元?

查看答案和解析>>

科目:初中数学 来源: 题型:

【题目】如图,点AB在反比例函数y(x0)的图象上,点CD在反比例函数y(k0)的图象上,ACBDy轴,已知点AB的横坐标分别为12,△OAC与△ABD的面积之和为,则k的值为_____

查看答案和解析>>

科目:初中数学 来源: 题型:

【题目】如图,已知抛物线经过的三个顶点,其中点,点轴,点是直线下方抛物线上的动点.

1)求抛物线的解析式;

2)过点且与轴平行的直线与直线分别交于点,当四边形的面积最大时,求点的坐标;

3)当点为抛物线的顶点时,在直线上是否存在点,使得以为顶点的三角形与相似,若存在,求出点的坐标;若不存在,请说明理由.

查看答案和解析>>

科目:初中数学 来源: 题型:

【题目】如图,已知AB是⊙O的直径,BC是弦,弦BD平分∠ABCACF,弦DEABH,交ACG

①求证:AGGD

②当∠ABC满足什么条件时,DFG是等边三角形?

③若AB10sinABD,求BC的长.

查看答案和解析>>

科目:初中数学 来源: 题型:

【题目】如图,的直径,的两条弦,过点的延长线与点.

1)求证:的切线;

2)若,求的值;

3)在(2)的条件下,若,求的长.

查看答案和解析>>

同步练习册答案