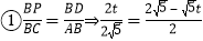
【题目】已知:如图一,抛物线
与x轴正半轴交于A、B两点,与y轴交于点C,直线
经过A、C两点,且
.
求抛物线的解析式;
若直线DE平行于x轴并从C点开始以每秒1个单位的速度沿y轴正方向平移,且分别交y轴、线段BC于点E,D,同时动点P从点B出发,沿BO方向以每秒2个单位速度运动,
如图
;当点P运动到原点O时,直线DE与点P都停止运动,连DP,若点P运动时间为t秒;设
,当t为何值时,s有最小值,并求出最小值.
在
的条件下,是否存在t的值,使以P、B、D为顶点的三角形与
相似;若存在,求t的值;若不存在,请说明理由.
![]()
【答案】(1)y=
.(2)
时,s有最小值,且最小值为1.(3)
或
.
【解析】分析:
(1)由题意易得点A、B、C的坐标分别为(2,0),(4,0)和(0,-2),再用待定系数法求得抛物线的解析式即可;
(2)由(1)中所得点A、B、C的坐标可得OB=4,OC=2,由此可得tan∠OCB=2,结合CE=t,可得DE=2t,结合OP=OB-PB=4-2t即可用含t的代数式表达出S,结合二次函数的性质即可求得t为何值时,S最小及最小值是多少了;
(3)由OB=5,OC=2易得BC=
,由EC=t,DE=2t易得CD=
,从而可得BD=
,由∠ABC=∠PBD可知当t的值满足
或
时,两三角形相似进行计算讨论即可求得对应的t的值.
详解:
由直线:
知:
、
;
∵
,
∴
,即
.
设抛物线的解析式为:
,代入
,得:
,解得![]()
∴抛物线的解析式:
.
在
中,
,
,则
;
∵
,
∴
;
而
;
∴
,
∴当
时,s有最小值,且最小值为1.
在
中,
,
,则
;
在
中,
,
,则
;
∴
;
以P、B、D为顶点的三角形与
相似,已知
,则有两种情况:
,解得
;
,解得
;
综上,当
或
时,以P、B、D为顶点的三角形与
相似.
科目:初中数学 来源: 题型:
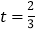
【题目】如图1,在四边形ABCD中,∠ADC=90°,AB=AC.点E、F分别为AC、BC的中点,连结EF、DE.
(1)请在图1中找出长度相等的两条线段?并说明理由.(AB=AC除外)
(2)如图2,当AC平分∠BAD,∠DEF=90°时,求∠BAD的度数.
(3)如图3,四边形CDEF是边长为2的菱形,求S四边形ABCD.
![]()
查看答案和解析>>
科目:初中数学 来源: 题型:
【题目】某高速公路养护小组,乘车沿东西向公路巡视维护,如果约定向东为正,向西为负,当天的行驶记录如下(单位:千米):-8,+18,+2,-16,+11,-5.
(1)该养护小组最后到达的地方在出发点的哪个方向?距出发点多远?
(2)若汽车耗油量为0.8L/km,则这次养护共耗油多少升?
查看答案和解析>>
科目:初中数学 来源: 题型:
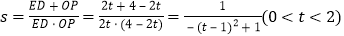
【题目】如图,已知数轴上的点A表示的数为6,点B表示的数为﹣4,点C到点A、点B的距离相等,动点P从点B出发,以每秒2个单位长度的速度沿数轴向右匀速运动,设运动时间为x(x大于0)秒.
(1)点C表示的数是 ;
(2)当x= 秒时,点P到达点A处?
(3)运动过程中点P表示的数是 (用含字母x的式子表示);
(4)当P,C之间的距离为2个单位长度时,求x的值.
![]()
查看答案和解析>>
科目:初中数学 来源: 题型:
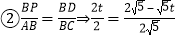
【题目】如图,直线
的解析表达式为
,且
与
轴交于点
,直线
经过点
,直线
,
交于点
.
![]()
(1)求点
的坐标;
(2)求直线
的解析表达式;
(3)求
的面积;
(4)在直线
上存在异于点
的另一点
,使得
与
的面积相等,请直接写出点
的坐标.
查看答案和解析>>
科目:初中数学 来源: 题型:
【题目】经过三边都不相等的三角形的一个顶点的线段把这个三角形分割成两个小三角形,如果分得的两个小三角形中一个为等腰三角形,另一个与原三角形相似,我们把这条线段叫做这个三角形的完美分割线.
(1)如图1,在△ABC中,CD为角平分线,∠A=40°,∠B=60°,求证:CD为△ABC的完美分割线
(2)在△ABC中,∠A=52°,CD是△ABC的完美分割线,且△ACD为等腰三角形,求∠ACB的度数.
(3)如图2,△ABC中,AC=3,BC=2,CD是△ABC的完美分割线,且△ACD是以CD为底边的等腰三角形,求完美分割线CD的长.
![]()
查看答案和解析>>
科目:初中数学 来源: 题型:
【题目】如图,已知∠MON=25°,矩形ABCD的边BC在OM上,对角线AC⊥ON.
(1)求∠ACD度数;
(2)当AC=5时,求AD的长.(参考数据:sin25°=0.42;cos25°=0.91;tan25°=0.47,结果精确到0.1)
![]()
查看答案和解析>>
湖北省互联网违法和不良信息举报平台 | 网上有害信息举报专区 | 电信诈骗举报专区 | 涉历史虚无主义有害信息举报专区 | 涉企侵权举报专区
违法和不良信息举报电话:027-86699610 举报邮箱:58377363@163.com