【题目】综合题
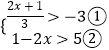
(1)先解不等式组
,然后判断
是不是此不等式组的一个整数解.
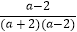
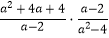
(2)化简求值:先化简
,再从1,2,3中选取一个适当的数代入求值.
【答案】
(1)解: ![]()
由①得x>﹣4
由②得x<﹣2
∴原不等式的解集﹣4<x<﹣2
;
=1﹣3+1﹣4× ![]()
=﹣3
∴﹣3 是不等式的整数解
(2)解:原式= ![]()
=
![]()
= ![]()
∵a﹣2≠0,a+2≠0,
∴a≠±2,
∴当a=1时,原式=﹣3.
【解析】(1)先求得两个不等式的解集,然后依据同大取大;同小取小;大小小大中间找;大大小小找不到确定出不等式组的解集,接下来,化简x的值,最后,依据求得x的结果进行判断即可.
(2)先依据分式的减法和乘法法则进行计算,然后选取能够使得代数式有意义的x的值代入计算即可.
【考点精析】解答此题的关键在于理解零指数幂法则的相关知识,掌握零次幂和负整数指数幂的意义: a0=1(a≠0);a-p=1/ap(a≠0,p为正整数),以及对整数指数幂的运算性质的理解,了解aman=am+n(m、n是正整数);(am)n=amn(m、n是正整数);(ab)n=anbn(n是正整数);am/an=am-n(a不等于0,m、n为正整数);(a/b)n=an/bn(n为正整数).
科目:初中数学 来源: 题型:
【题目】某服装厂生产一种西装和领带,西装每套定价200元,领带每条定价30元。厂方在开展促销活动期间,向客户提供两种优惠方案:方案一:一套西装送一条领带; 方案二:西装和领带都按定价的90%付款。现某客户要到该服装厂购买西装20套,领带x条(x>20)。
(1)若该客户按方案①购买,需付款 元(用含x的代数式表示);若该客户按方案②购买,需付款 元(用含x的代数式表示)°
(2)若x=30,两种方案中,通过计算说明选择按哪种方案购买较为合算。
(3)当x=30时,你能给出一种更为省钱的购买方案吗?试写出你的方案,并计算出所需的钱数。
查看答案和解析>>
科目:初中数学 来源: 题型:
【题目】已知下列命题中为真命题的是( )
①
的算术平方根是4;
②若ma2>na2 , 则m>n;
③正八边形的一个内角的度数是135°;
④对角线互相垂直平分的四边形是菱形;
⑤平分弦的直径垂直于弦.
A.①③④
B.②③⑤
C.①④⑤
D.②③④
查看答案和解析>>
科目:初中数学 来源: 题型:
【题目】已知:如图,D是△ABC的边BC上的一点,且CD=AB,∠BDA=∠BAD,AE是△ABD的中线.
⑴若∠B=60°,求∠C的值;
⑵求证:AD是∠EAC的平分线.
![]()
查看答案和解析>>
科目:初中数学 来源: 题型:
【题目】在平面直角坐标系中,点
的坐标为
,以 A 为顶点的
的两边始终与
轴交于
、
两点(
在
左面),且
.
(1)如图,连接
,当
时,试说明:
.
![]()
(2)过点
作
轴,垂足为
,当
时,将
沿
所在直线翻折,翻折后边
交
轴于点
,求点
的坐标.
![]()
查看答案和解析>>
科目:初中数学 来源: 题型:
【题目】为了调查学生对雾霾天气的了解程度,某校在学生中做了一次抽样调查,调查结果共分为四个等级:A.非常了解;B.比较了解;C.基本了解;D.不了解.根据调查统计结果,绘制了如图所示的不完整的三种统计图表.![]()
对雾霾的了解程度 | 百分比 |
A.非常了解 | 5% |
A.比较了解 | 15% |
C.基本了解 | 45% |
D.不了解 | n |
请结合统计图表,回答下列问题:
(1)本次参与调查的学生共有人,n=;扇形统计图中D部分扇形所对应的圆心角是度;
(2)请补全条形统计图;
(3)根据调查结果,学校准备开展关于雾霾的知识竞赛,某班要从“非常了解”程度的小明和小刚中选一人参加,现设计了如下游戏来确定,具体规则是:把四个完全相同的乒乓球标上数字1,2,3,4,然后放到一个不透明的袋中,一个人先从袋中随机摸出一个球,另一人再从剩下的三个球中随机摸出一个球.若摸出的两个球上的数字和为奇数,则小明去,否则小刚去.请用树状图或列表法说明这个游戏规则是否公平.
查看答案和解析>>
科目:初中数学 来源: 题型:
【题目】如图,点D,E分别在线段AB,AC上,CD与BE相交于点O,已知AB=AC,那么添加下列一个条件后,仍无法判定
的是( )
![]()
A.
B. AD=AE C. BE=CD D. BD=CE
查看答案和解析>>
科目:初中数学 来源: 题型:
【题目】如图,海中有一小岛P,在距小岛16
海里范围内有暗礁,一轮船自西向东航行,它在A处测得小岛P位于北偏东45°,且A,P之间的距离为32海里,若轮船继续向正东方向航行,有无触礁的危险?请通过计算加以说明.如果有危险,轮船自A处开始至少沿东偏南多少度方向改变航向,才能安全通过这一海域?![]()
查看答案和解析>>
科目:初中数学 来源: 题型:
【题目】如图,在平面直角坐标系中,边长为1的正方形OA1B1C1的两边在坐标轴上,以它的对角线OB1为边作正方形OB1B2C2 , 再以正方形OB1B2C2的对角线OB2为边作正方形OB2B3C3 , 以此类推…则正方形OB2016B2017C2017的顶点B2017的坐标是( )![]()
A.(21008 , 0)
B.(21008 , 21008)
C.(0,21008)
D.(21007 , 21007)
查看答案和解析>>
湖北省互联网违法和不良信息举报平台 | 网上有害信息举报专区 | 电信诈骗举报专区 | 涉历史虚无主义有害信息举报专区 | 涉企侵权举报专区
违法和不良信息举报电话:027-86699610 举报邮箱:58377363@163.com