精英家教网 > 初中数学 > 题目详情

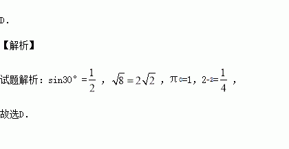
下列运算:sin30°=,π0=π,2-2=-4,其中运算结果正确的个数为( )

A.4 B.3 C.2 D.1

练习册系列答案
相关习题

科目:初中数学 来源:2015-2016学年江苏无锡南闸实验学校八年级下第一次月考数学试卷(解析版) 题型:解答题

当m为何值时,关于x的方程无解?

查看答案和解析>>

科目:初中数学 来源:2016届天津市津南区东片学区九年级下期中数学试卷(解析版) 题型:选择题

若m=-2,则估计m的值所在的范围是( )

A.1<m<2 B.2<m<3

C.3<m<4 D.4<m<5

查看答案和解析>>

科目:初中数学 来源:2016届天津市河东区中考模拟数学试卷(解析版) 题型:填空题

计算: = ____________.

查看答案和解析>>

科目:初中数学 来源:2016届天津市河东区中考模拟数学试卷(解析版) 题型:选择题

某校九年级数学兴趣小组的同学调查了若干名家长对“初中学生带手机上学”现象的看法,统计整理并制作了如下的条形与扇形统计图.

依据图中信息,得出下列结论:

(1)接受这次调查的家长人数为200人

(2)在扇形统计图中,“不赞同”的家长部分所对应的扇形圆心角大小为162°

(3)表示“无所谓”的家长人数为40人

(4)随机抽查一名接受调查的家长,恰好抽到“很赞同”的家长的概率是

其中正确的结论个数为( )

A.4 B.3 C.2 D.1

查看答案和解析>>

科目:初中数学 来源:2016届四川省自贡市六校中考二模数学试卷(解析版) 题型:解答题

如图,AB是⊙O的直径,C、D为半圆O上的两点,CD∥AB,过点C作CE⊥AD,交AD的延长线于点E,tanA=

(1)求证:CE是⊙O的切线;

(2)猜想四边形AOCD是什么特殊的四边形,并证明你的猜想.

查看答案和解析>>

科目:初中数学 来源:2016届四川省自贡市六校中考二模数学试卷(解析版) 题型:填空题

分解因式:ax2-ay2=

查看答案和解析>>

科目:初中数学 来源:2016届山东省潍坊市中考一模数学试卷(解析版) 题型:解答题

下表为抄录北京奥运会官方票务网公布的三种球类比赛的部分门票价格,某公司购买的门票种类、数量绘制的条形统计图如图.

比赛项目

票价(元/张)

男 篮

1000

足 球

800

乒乓球

x

依据上列图、表,回答下列问题:

(1)其中观看男篮比赛的门票有 张;观看乒乓球比赛的门票占全部门票的 %;

(2)公司决定采用随机抽取的方式把门票分配给100名员工,在看不到门票的条件下,每人抽取一张(假设所有的门票形状、大小、质地等完全相同且充分洗匀),问员工小亮抽到足球门票的概率是

(3)若购买乒乓球门票的总款数占全部门票总款数的,试求每张乒乓球门票的价格.

查看答案和解析>>

科目:初中数学 来源:2016届山东省临沂市沂水县中考一模数学试卷(解析版) 题型:选择题

2015年7月份,某市一周空气质量报告中某项污染指数的数据是:31,35,31,33,30,33,31.則下列关于这列数据表述正确的是( )

A.众数是30 B.中位教是31 C.平均数是33 D.极差是35

查看答案和解析>>

同步练习册答案