精英家教网 > 初中数学 > 题目详情

【题目】11·贵港)如图所示,正方形OEFG和正方形ABCD是位似图形,点F的坐标

(11),点C的坐标为(42),则这两个正方形位似中心的坐标是 _ ▲

【答案】(20)

【解析】本题答案为:(20)或(-

两个位似图形的主要特征是:每对位似对应点与位似中心共线;不经过位似中心的对应线段平行.则位似中心就是两对对应点的延长线的交点,本题分两种情况讨论即可.

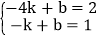
解:当两个位似图形在位似中心同旁时,位似中心就是CFx轴的交点,

设直线CF解析式为y=kx+b,将C-42),F-11)代入,得

解得y=-x+

y=0x=2

∴O′坐标是(20);

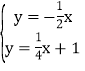
当位似中心O′在两个正方形之间时,

可求直线OC解析式为y=-x,直线DE解析式为y=x+1

联立,解得

O′-).

故本题答案为:(20)或(-).

练习册系列答案
相关习题

科目:初中数学 来源: 题型:

【题目】某县教育局为了丰富初中学生的大课间活动,要求各学校开展形式多样的阳光体育活动.某中学就学生体育活动兴趣爱好的问题,随机调查了本校某班的学生,并根据调查结果绘制成如下的不完整的扇形统计图和条形统计图:

1)在这次调查中,喜欢篮球项目的同学有   人,在扇形统计图中,乒乓球的百分比为   %,如果学校有800名学生,估计全校学生中有   人喜欢篮球项目.

2)请将条形统计图补充完整.

3)在被调查的学生中,喜欢篮球的有2名女同学,其余为男同学.现要从中随机抽取2名同学代表班级参加校篮球队,请直接写出所抽取的2名同学恰好是1名女同学和1名男同学的概率.

查看答案和解析>>

科目:初中数学 来源: 题型:

【题目】在下列的网格图中.每个小正方形的边长均为1个单位,在RtABC中,∠C=90°,AC=3,BC=4.

(1)试在图中作出ABCA为旋转中心,沿顺时针方向旋转90°后的图形AB1C1

(2)若点B的坐标为(-3,5),试在图中画出直角坐标系,并标出A、C两点的坐标;

(3)根据(2)中的坐标系作出与ABC关于原点对称的图形A2B2C2,并标出B2、C2两点的坐标.

查看答案和解析>>

科目:初中数学 来源: 题型:

【题目】某校九年级所有学生参加2011年初中毕业英语口语、听力自动化考试,我们从中随机抽取了部分学生的考试成绩,将他们的成绩进行统计后分为四等,并将统计结果绘制成如下的统计图,请你结合图中所给信息解答下列问题:

(说明:A级:25分~30分:B级:20分~24分;C级:15分~19分:D级:15分以下)

1)请把条形统计图补充完整;

2)扇形统计图中D级所占的百分比是__________;

3)若该校九年级有850名学生,请你估计全年级A级和B级的学生人数共约为__________人。

查看答案和解析>>

科目:初中数学 来源: 题型:

【题目】如图,长青化工厂与AB两地有公路、铁路相连.这家工厂从A地购买一批每吨1000元的原料运回工厂,制成每吨8000元的产品运到B地.已知公路运价为1.5/(吨·千米),铁路运价为1.2/(吨·千米),且这两次运输共支出公路运输费15000元,铁路运输费97200元.

求:(1)该工厂从A地购买了多少吨原料?制成运往B地的产品多少吨?

2)这批产品的销售款比原料费与运输费的和多多少元?

查看答案和解析>>

科目:初中数学 来源: 题型:

【题目】正方形A1B1C1OA2B2C2C1A3B3C3C2按如图所示放置,点A1A2A3在直线yx+1上,点C1C2C3x轴上,则A5的坐标是___

查看答案和解析>>

科目:初中数学 来源: 题型:

【题目】目前由重庆市教育委员会,渝北区人们政府主办的阳光下成长重庆市第八届中小学生艺术展演活动落下帷幕,重庆一中学生舞蹈团、管乐团、民乐团、声乐团、话剧团等五大艺术团均荣获艺术表演类节目一等奖,重庆一中获优秀组织奖,重庆一中老师李珊获先进个人奖,其中重庆一中舞蹈团将代表重庆市参加明年的全国集中展演比赛,若以下两个统计图统计了舞蹈组各代表队的得分情况:

1m   ,在扇形统计图中分数为7的圆心角度数为   度.

2)补全条形统计图,各组得分的中位数是   分,众数是   分.

3)若舞蹈组获得一等奖的队伍有2组,已知主办方各组的奖项个数是按相同比例设置的,若参加该展演活动的总队伍数共有120组,那么该展演活动共产生了多少个一等奖?

查看答案和解析>>

科目:初中数学 来源: 题型:

【题目】如图,AOB=30°OP平分AOBPDOBDPCOBOAC,若PC=6,则PD=

查看答案和解析>>

科目:初中数学 来源: 题型:

【题目】甲、乙两人相约元旦登山,甲、乙两人距地面的高度y(m)与登山时间x(min)之间的函数图像如图所示,根据图像所提供的信息解答下列问题:

1t= min.

2)若乙提速后,乙登山的上升速度是甲登山的上升速度3倍,

则甲登山的的上升速度是 m/min

请求出甲登山过程中,距地面的高度y(m)与登山时间x(min)之间的函数关系式.

当甲、乙两人距地面高度差为70m时,求x的值(直接写出满足条件的x值).

查看答案和解析>>

同步练习册答案