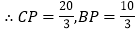
【题目】如图,在△ABC中,∠ABC=∠ACB,以AC为直径的⊙O分别交AB、BC于点M、N,点P在AB的延长线上,且∠CAB=2∠BCP.
(1)求证:直线CP是⊙O的切线;
(2)若BC=2
,sin∠BCP=
,求⊙O的半径及△ACP的周长.
![]()
【答案】详见解析.
【解析】试题分析: (1)欲证明直线CP是
的切线,只需证得CP⊥AC;
(2)利用正弦三角函数的定义求得
的直径
则
的半径为![]()
如图,过点B作BD⊥AC于点D,构建相似三角形:△CAN∽△CBD,所以根据相似三角形的对应边成比例求得线段
;然后在Rt△BCD中,,利用勾股定理可以求得
所以利用平行线分线段成比例分别求得线段
的长度.即可求出
的周长.
试题解析:(1)证明:连接AN,
![]()
∵∠ABC=∠ACB,∴AB=AC,
∵AC是
的直径,∴AN⊥BC,
∴∠CAN=∠BAN,BN=CN,
∵∠CAB=2∠BCP,
∴∠CAN=∠BCP.
∵∠CAN+∠ACN=
,
∴∠BCP+∠ACN=
,
∴CP⊥AC,
∵OC是
的半径
∴CP是
的切线;
(2)
∴AC=5,
∴
的半径为
如图,过点B作BD⊥AC于点D.
由(1)得
在Rt△CAN中,
在△CAN和△CBD中,
∴△CAN∽△CBD,
∴BD=4.
在Rt△BCD中,
∴AD=ACCD=52=3,
∵BD∥CP,
∴△APC的周长是AC+PC+AP=20.
科目:初中数学 来源: 题型:
【题目】某商店购进45件A商品和20件B商品共用了800元,购进60件A商品和35件B商品共用了1100元.
(1)A、B两种商品的单价分别是多少元?
(2)已知该商店购进B商品的件数比购进A商品件数的2倍少4件,如果需要购进A、B两种商品的总件数不少于32件,且该商店购进A、B两种商品的总费用不超过296元,那么该商店有几种购进方案?并写出所有可能的购进方案.
查看答案和解析>>
科目:初中数学 来源: 题型:
【题目】如图,在矩形ABCD中,E是BC上一动点,将△ABE沿AE折叠后得到△AFE,点F在矩形ABCD内部,延长AF交CD于点G,AB=3,AD=4.
(1)如图,当∠DAG=30° 时,求BE的长;
(2)如图,当点E是BC的中点时,求线段GC的长;
(3)如图,点E在运动过程中,当△CFE的周长最小时,直接写出BE的长.
![]()
查看答案和解析>>
科目:初中数学 来源: 题型:
【题目】如图,在矩形ABCD中,点E在AB边上,沿CE折叠矩形ABCD,使点B落在AD边上的点F处,若AB=4,BC=5,则tan∠AFE的值为___.
![]()
查看答案和解析>>
科目:初中数学 来源: 题型:
【题目】如图所示,在边长为a米的正方形草坪上修建两条宽为b米的道路.
(1)为了求得剩余草坪的面积,小明同学想出了两种办法,结果分别如下:
方法①: 方法②:
请你从小明的两种求面积的方法中,直接写出含有字母a,b代数式的等式是:
(2)根据(1)中的等式,解决如下问题:
①已知:
,求
的值;
②己知:
,求
的值.
![]()
查看答案和解析>>
科目:初中数学 来源: 题型:
【题目】如图,在边长为1个单位长度的小正方形网格中建立平面直角坐标系,已知
的顶点
的坐标为
,顶点
的坐标为
,顶点
的坐标为
.
![]()
(1)求
的面积;
(2)若把
向上平移3个单位长度,再向左平移6个单位长度得到
,请画出
;
(3)若点
在
轴上,且
的面积与
的面积相等,请直接写出点
的坐标.
查看答案和解析>>
科目:初中数学 来源: 题型:
【题目】每年农历五月初五,是中国民间的传统节日——端午节.它始于我国的春秋战国时期,已列为世界非物质文化遗产.时至今日,端午节在我国仍是一个十分盛行的节日.今年端午节,某地甲、乙两家超市为吸引更多的顾客,开展促销活动,对某种质量和售价相同的粽子分别推出了不同的优惠方案.甲超市的方案是:购买该种粽子超过80元后,超出80元的部分按九折收费;乙超市的方案是:购买该种粽子超过120元后,超出120元的部分按八折收费.请根据顾客购买粽子的金额,选择到哪家超市购买粽子划算?
查看答案和解析>>
科目:初中数学 来源: 题型:
【题目】如图,在四边形ABCD中,AD//BC,BD=BC,∠ABC=900;
![]()
(1)画出
的高CE;;
(2)请写出图中的一对全等三角形(不添加任何字母),并说明理由;
(3)若
,求DE的长.
查看答案和解析>>
科目:初中数学 来源: 题型:
【题目】某校开设了丰富多彩的实践类拓展课程,分别设置了体育类、艺术类、文学类及其它类课程(要求人人参与,每人只能选择一门课程).为了解学生喜爱的拓展课类别,学校做了一次抽样调查.根据收集到的数据,绘制成如下两幅不完整的统计图,请根据图中提供的信息,完成下列问题:
![]()
(1)此次共调查了多少人?
(2)请将条形统计图补充完整
(3)求文学类课程在扇形统计图中所占圆心角的度数;
(4)若该校有1500名学生,请估计喜欢体育类拓展课的学生人数.
查看答案和解析>>
湖北省互联网违法和不良信息举报平台 | 网上有害信息举报专区 | 电信诈骗举报专区 | 涉历史虚无主义有害信息举报专区 | 涉企侵权举报专区
违法和不良信息举报电话:027-86699610 举报邮箱:58377363@163.com