¡¾ÌâÄ¿¡¿I.Æû³µÎ²ÆøÊdzÇÊеÄÖ÷Òª¿ÕÆøÎÛȾÎÑо¿¿ØÖÆÆû³µÎ²Æø³ÉΪ±£»¤»·¾³µÄÊ×ÒªÈÎÎñ¡£Æû³µÄÚȼ»ú¹¤×÷ʱ·¢Éú·´Ó¦£ºN2£¨g£©+O2£¨g£©
2NO£¨g£©£¬¸Ã·´Ó¦Êǵ¼ÖÂÆû³µÎ²ÆøÖк¬ÓÐNOµÄÔÒòÖ®Ò»¡£T¡æÊ±£¬Ïò5LÃܱÕÈÝÆ÷ÖгäÈë6.5 mol N2ºÍ7.5 molO2£¬ÔÚ5 minʱ·´Ó¦´ïµ½Æ½ºâ״̬£¬´ËʱÈÝÆ÷ÖÐNOµÄÎïÖʵÄÁ¿ÊÇ5mol¡£
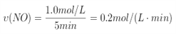
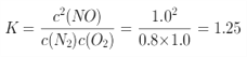
£¨1£©5 minÄڸ÷´Ó¦µÄƽ¾ùËÙÂÊv£¨NO£©=___________£»ÔÚT¡æÊ±£¬¸Ã·´Ó¦µÄƽºâ³£ÊýֵΪ_________¡£
£¨2£©·´Ó¦¿ªÊ¼ÖÁ´ïµ½Æ½ºâµÄ¹ý³ÌÖУ¬ÈÝÆ÷ÖÐÏÂÁи÷Ïî·¢Éú±ä»¯µÄÊÇ£¨ÌîÐòºÅ£©___________¡£
a£®»ìºÏÆøÌåµÄÃÜ¶È b£®»ìºÏÆøÌåµÄѹǿ
c£®Õý·´Ó¦ËÙÂÊ d£®µ¥Î»Ê±¼äÄÚ£¬N2ºÍNOµÄÏûºÄÁ¿Ö®±È
£¨3£©ÒÑÖª£º¢¡£®![]()
¢¢£® N2(g) + 2O2(g) === 2NO2(g) ¦¤H= + 68 kJ¡¤mol£1
½áºÏÈÈ»¯Ñ§·½³Ìʽ£¬ËµÃ÷ζȶÔÓÚNOÉú³ÉNO2ƽºâת»¯ÂʵÄÓ°Ï죺_____________________¡£
II. º¬pm2.5µÄÎíö²Ö÷Òª³É·ÖÓÐSO2¡¢NOx¡¢CxHy¼°¿ÉÎüÈë¿ÅÁ£µÈ¡£
£¨4£©Îíö²ÖÐÄÜÐγÉËáÓêµÄÎïÖÊÊÇ_____________
£¨5£©NaClO2ÈÜÒº¿ÉÒÔÎüÊÕSO2¡¢NO¡£ÔÚNaClO2ÈÜÒºÖÐͨÈ뺬ÓÐSO2ºÍNOµÄÆøÌ壬·´Ó¦Î¶ÈΪ323 K£¬NaClO2ÈÜҺŨ¶ÈΪ5¡Á103mol¡¤L1¡£·´Ó¦Ò»¶Îʱ¼äºóÈÜÒºÖÐÀë×ÓŨ¶ÈµÄ·ÖÎö½á¹ûÈçϱí
Àë×Ó | SO42 | SO32 | NO3 | NO2 | Cl |
c/£¨mol¡¤L1£© | 8.35¡Á104 | 6.87¡Á106 | 1.5¡Á104 | 1.2¡Á105 | 3.4¡Á103 |
¢Ùд³öNaClO2ÈÜÒºÍÑÏõ¹ý³ÌÖÐÖ÷Òª·´Ó¦µÄÀë×Ó·½³Ìʽ________________________
Ôö´óѹǿ£¬NOµÄת»¯ÂÊ______£¨Ìî¡°Ìá¸ß¡±¡°²»±ä¡±»ò¡°½µµÍ¡±£©¡£
¢ÚÓÉʵÑé½á¹û¿ÉÖª£¬ÍÑÁò·´Ó¦ËÙÂÊ´óÓÚÍÑÏõ·´Ó¦ËÙÂÊ£¨Ìî¡°´óÓÚ¡±»ò¡°Ð¡ÓÚ¡±£©¡£ÔÒò³ýÁËSO2ÈܽâÐÔ´óÓÚNO£¬»¹¿ÉÄÜÊÇ___________________
£¨6£©Èçͼµç½â×°Öÿɽ«SO2¡¢NOת»¯Îª(NH4)2SO4£¬
![]()
¢ÙÒõ¼«µÄµç¼«·´Ó¦Ê½ÊÇ______________________________
¢ÚSO2¡¢NOͨÈëµç½â×°ÖÃÖеÄÌå»ý±ÈΪ___________________
¡¾´ð°¸¡¿ 0.2mol/£¨Lmin£© 1.25 cd 2NO(g) £« O2(g)
2NO2(g) ¦¤H = £115 kJ¡¤mol£1£¬Î¶ÈÉý¸ß£¬Æ½ºâÏòÄæ·´Ó¦·½ÏòÒÆ¶¯£¬NOת»¯ÎªNO2µÄƽºâת»¯ÂʽµµÍ SO2¡¢NOx 4NO+3ClO2£+2OH-=4NO3£+3Cl£+2H2O Ìá¸ß SO2µÄ³õʼŨ¶È´óÓÚNO(ºÏÀí¾ù¸ø·Ö NO+5e-+6H+ =NH4++H2O 5:2
¡¾½âÎö¡¿(1) T¡æÊ±£¬Ïò5LÃܱÕÈÝÆ÷ÖгäÈë6.5 mol N2ºÍ7.5 molO2£¬ÔÚ5 minʱ·´Ó¦´ïµ½Æ½ºâ״̬£¬´ËʱÈÝÆ÷ÖÐNOµÄÎïÖʵÄÁ¿ÊÇ5mol£¬ÓÉÌâÖÐËù¸øÊý¾Ý¿ÉÒÔÖªµÀ£º
N2£¨g£©+O2£¨g£©
2NO£¨g£©
ÆðʼŨ¶È 1.3 1.5 0
ת»¯Å¨¶È 0.5 0.5 1
ƽºâŨ¶È 0.8 1 1
Ôò
£»
£»ÕýÈ·´ð°¸£º0.2mol/£¨Lmin£©£» 1.25¡£
(2)»ìºÏÆøÌåµÄ×ÜÖÊÁ¿²»±ä£¬ÈÝÆ÷µÄÌå»ý²»±ä£¬»ìºÏÆøÌåµÄÃܶȲ»±ä£¬a´íÎó£»»ìºÏÆøÌå×ܵÄÎïÖʵÄÁ¿²»±ä£¬ÈÝÆ÷Ìå»ý²»±ä£¬»ìºÏÆøÌåµÄѹǿ²»±ä£¬b´íÎó£»Ëæ·´Ó¦½øÐУ¬·´Ó¦ÎïŨ¶È½µµÍ£¬Õý·´Ó¦ËÙÂÊÖð½¥½µµÍ£¬cÕýÈ·£»Ëæ·´Ó¦½øÐУ¬·´Ó¦ÎïŨ¶È½µµÍ£¬Õý·´Ó¦ËÙÂÊÖð½¥½µµÍ£¬Éú³ÉÎïµÄŨ¶ÈÔö´ó£¬Äæ·´Ó¦ËÙÂÊÔö´ó£¬¹Êµ¥Î»Ê±¼äÄÚ£¬N2µÄÏûºÄÁ¿¼õС£¬NOµÄÏûºÄÁ¿Ôö´ó£¬µ¥Î»Ê±¼äÄÚ£¬ N2ºÍNOµÄÏûºÄÁ¿Ö®±È¼õС£¬dÕýÈ·£»ÕýÈ·´ð°¸£ºcd¡£
£¨3£©¸ù¾ÝH=·´Ó¦Îï¶Ï¼üÎüÊÕµÄ×ÜÄÜÁ¿-Éú³ÉÎï¶Ï¼ü·Å³öµÄÈÈÁ¿=945+498-2¡Á630=173 kJ¡¤mol£1£¬N2(g) + O2(g) === NO(g) ¦¤H=+173 kJ¡¤mol£1£»N2(g) + 2O2(g) === 2NO2(g) ¦¤H= + 68 kJ¡¤mol£1£»¸ù¾Ý¸Ç˹¶¨Âɿɵãº2NO(g) £« O2(g)
2NO2(g) ¦¤H = £115 kJ¡¤mol£1£¬Î¶ÈÉý¸ß£¬Æ½ºâÏòÄæ·´Ó¦·½ÏòÒÆ¶¯£¬NOת»¯ÎªNO2µÄƽºâת»¯ÂʽµµÍ£»ÕýÈ·´ð°¸£º2NO(g) £« O2(g)
2NO2(g) ¦¤H = £115 kJ¡¤mol£1£¬Î¶ÈÉý¸ß£¬Æ½ºâÏòÄæ·´Ó¦·½ÏòÒÆ¶¯£¬NOת»¯ÎªNO2µÄƽºâת»¯ÂʽµµÍ¡£
II.£¨4£©ÁòµÄÑõ»¯Îï¡¢µªµÄÑõ»¯ÎïÊÇÔì³ÉËáÓêµÄÖ÷ÒªÔÒò£¬Òò´ËÎíö²ÖÐÄÜÐγÉËáÓêµÄÎïÖÊÊÇSO2¡¢NOx£»ÕýÈ·´ð°¸£ºSO2¡¢NOx¡£
£¨5£©¢ÙÑÇÂÈËáÄÆ¾ßÓÐÑõ»¯ÐÔ£¬ÇÒ
ÈÜÒº³Ê¼îÐÔ,Ôò
ÈÜÒºÍÑÏõ¹ý³ÌÖÐÖ÷Òª·´Ó¦µÄÀë×Ó·½³ÌʽΪ
£»ÕýÈ·´ð°¸£º
£»Õý·´Ó¦ÊÇÌå»ý¼õСµÄ£¬ÔòÔö¼Óѹǿ£¬NOµÄת»¯ÂÊÌá¸ß£»ÕýÈ·´ð°¸£º
£»Ìá¸ß¡£
¢Ú´ÓÌâ¸øÐÅÏ¢¿ÉÖª£ºÍÑÁò·´Ó¦ËÙÂÊ´óÓÚÍÑÏõ·´Ó¦ËÙÂÊ£¬³ýÁËSO2ÈܽâÐÔ´óÓÚNO£¬»¹¿ÉÄÜÊÇSO2µÄ³õʼŨ¶È´óÓÚNO£»ÕýÈ·´ð°¸£º´óÓÚ£»SO2µÄ³õʼŨ¶È´óÓÚNO(ºÏÀí¾ù¸ø·Ö)¡£
£¨6£©¢Ùµç½â³ØÖÐÒõ¼«·¢Éú»¹Ô·´Ó¦£ºNOµÃµç×ÓÉú³É笠ù£¬·´Ó¦Àë×Ó·½³ÌʽΪ£ºNO+5e-+6H+ =NH4++H2O£»ÕýÈ·´ð°¸£ºNO+5e-+6H+ =NH4++H2O¡£
¢ÚSO2ʧµç×ÓÐγÉÁòËᣬ·´Ó¦·½³ÌʽΪ:5SO2+2NO+8H2O=(NH4)2SO4+4H2SO4£»ÔòSO2¡¢NOͨÈëµç½â×°ÖÃÖеÄÌå»ý±ÈΪ5:2£»ÕýÈ·´ð°¸£º5:2¡£
| Äê¼¶ | ¸ßÖÐ¿Î³Ì | Äê¼¶ | ³õÖÐ¿Î³Ì |
| ¸ßÒ» | ¸ßÒ»Ãâ·Ñ¿Î³ÌÍÆ¼ö£¡ | ³õÒ» | ³õÒ»Ãâ·Ñ¿Î³ÌÍÆ¼ö£¡ |
| ¸ß¶þ | ¸ß¶þÃâ·Ñ¿Î³ÌÍÆ¼ö£¡ | ³õ¶þ | ³õ¶þÃâ·Ñ¿Î³ÌÍÆ¼ö£¡ |
| ¸ßÈý | ¸ßÈýÃâ·Ñ¿Î³ÌÍÆ¼ö£¡ | ³õÈý | ³õÈýÃâ·Ñ¿Î³ÌÍÆ¼ö£¡ |
¿ÆÄ¿£º¸ßÖл¯Ñ§ À´Ô´£º ÌâÐÍ£º
¡¾ÌâÄ¿¡¿ÏÂÁнṹ»òÎïÖÊÒ»¶¨Ã»ÓкËÌDzÎÓë¹¹³ÉµÄÊÇ£¨ £©
A. ÄâºË B. ø C. ATP D. Ò¶ÂÌÌå
²é¿´´ð°¸ºÍ½âÎö>>
¿ÆÄ¿£º¸ßÖл¯Ñ§ À´Ô´£º ÌâÐÍ£º
¡¾ÌâÄ¿¡¿ÏÂÁÐ˵·¨ÖÐÕýÈ·µÄÊÇ£¨ £©
A.º¬Óй²¼Û¼üµÄ»¯ºÏÎïÒ»¶¨Êǹ²¼Û»¯ºÏÎï
B.·Ç½ðÊôÔªËØÖ®¼ä²»¿ÉÄÜÐγÉÀë×Ó»¯ºÏÎï
C.ÆøÌå·Ö×Ó¼äÒ»¶¨´æÔÚ·Ö×Ó¼ä×÷ÓÃÁ¦£¬µ«·Ö×ÓÄÚ²»Ò»¶¨º¬¹²¼Û¼ü
D.Á½ÖÖ²»Í¬µÄ·Ç½ðÊôÔªËØÐγɵϝºÏÎïÖ»´æÔÚ¼«ÐÔ¹²¼Û¼ü
²é¿´´ð°¸ºÍ½âÎö>>
¿ÆÄ¿£º¸ßÖл¯Ñ§ À´Ô´£º ÌâÐÍ£º
¡¾ÌâÄ¿¡¿ÔĶÁ¡¢·ÖÎöÏÂÁÐÁ½¸ö²ÄÁÏ£º
²ÄÁÏÒ»¡¢
![]()
²ÄÁ϶þ¡¢
ÎïÖÊ | ÈÛµã/¡æ | ·Ðµã/¡æ | ÃܶÈ/g¡¤cm-3 | ÈܽâÐÔ |
ÒÒ¶þ´¼£¨ C2H6O2£© | -11.5 | 198 | 1.11 | Ò×ÈÜÓÚË®ºÍÒÒ´¼ |
±ûÈý´¼£¨C3H8O3£© | 17.9 | 290 | 1.26 | ÄܸúË®¡¢¾Æ¾«ÒÔÈÎÒâ±È»¥ÈÜ |
»Ø´ðÏÂÁÐÎÊÌ⣨ÌîдÐòºÅ£©£º
A£®ÕôÁó·¨ | B£®ÝÍÈ¡·¨ | C£®¡°Èܽ⡢½á¾§¡¢¹ýÂË¡±µÄ·½·¨ | D£®·ÖÒº·¨ |
£¨1£© ½«´¿¼î´ÓÂÈ»¯Äƺʹ¿¼îµÄ»ìºÏÎïÖзÖÀë³öÀ´£¬×îºÃÓ¦ÓÃ__________¡£
£¨2£©½«ÒÒ¶þ´¼ºÍ±ûÈý´¼Ï໥·ÖÀëµÄ×î¼Ñ·½·¨ÊÇ__________¡£
²é¿´´ð°¸ºÍ½âÎö>>
¿ÆÄ¿£º¸ßÖл¯Ñ§ À´Ô´£º ÌâÐÍ£º
¡¾ÌâÄ¿¡¿°Ñ500
ÓÐ
ºÍ
µÄ»ìºÏÈÜÒº·Ö³É5µÈ·Ý£¬È¡Ò»·Ý¼ÓÈ뺬
ÁòËáÄÆµÄÈÜÒº£¬Ç¡ºÃʹ±µÀë×ÓÍêÈ«³Áµí£»Áíȡһ·Ý¼ÓÈ뺬
ÏõËáÒøµÄÈÜÒº£¬Ç¡ºÃʹÂÈÀë×ÓÍêÈ«³Áµí¡£Ôò¸Ã»ìºÏÈÜÒºÖмØÀë×ÓŨ¶ÈΪ
A.
B. ![]()
C.
D. ![]()
²é¿´´ð°¸ºÍ½âÎö>>
¿ÆÄ¿£º¸ßÖл¯Ñ§ À´Ô´£º ÌâÐÍ£º
¡¾ÌâÄ¿¡¿ÏÖÓÐŨ¶È¾ùΪ0.1 mol¡¤L£1µÄÏÂÁÐÈÜÒº£º¢ÙÁòËá¡¢¢Ú´×Ëá¡¢¢ÛÇâÑõ»¯ÄÆ¡¢¢ÜÂÈ»¯ï§¡¢¢Ý´×Ëáï§¡¢¢ÞÁòËáÇâï§¡¢¢ß°±Ë®£®Çë»Ø´ðÏÂÁÐÎÊÌ⣺
£¨1£©¢Ù¡¢¢Ú¡¢¢Û¡¢¢ÜËÄÖÖÈÜÒºÖÐÓÉË®µçÀë³öµÄH£«Å¨¶ÈÓÉ´óµ½Ð¡µÄ˳ÐòÊÇ(ÌîÐòºÅ)___________¡£
£¨2£©¢Ü¡¢¢Ý¡¢¢Þ¡¢¢ßËÄÖÖÈÜÒºÖÐNH
Ũ¶ÈÓÉ´óµ½Ð¡µÄ˳ÐòÊÇ(ÌîÐòºÅ)_______________¡£
£¨3£©½«¢ÛºÍ¢Ü°´Ìå»ý±È1¡Ã2»ìºÏºó£¬»ìºÏÒºÖи÷Àë×ÓŨ¶ÈÓÉ´óµ½Ð¡µÄ˳ÐòÊÇ£º__________________¡£
£¨4£©ÒÑÖªt ¡æÊ±£¬KW£½1¡Á10£13£¬Ôòt ¡æ(Ìî¡°£¾¡±¡¢¡°£¼¡±»ò¡°£½¡±)________25¡æ¡£ÔÚt ¡æÊ±½«pH£½11µÄNaOHÈÜÒºa LÓëpH£½1µÄH2SO4ÈÜÒºb L»ìºÏ(ºöÂÔ»ìºÏºóÈÜÒºÌå»ýµÄ±ä»¯)£¬ÈôËùµÃ»ìºÏÈÜÒºµÄpH£½2£¬Ôòa¡Ãb£½________¡£
²é¿´´ð°¸ºÍ½âÎö>>
¿ÆÄ¿£º¸ßÖл¯Ñ§ À´Ô´£º ÌâÐÍ£º
¡¾ÌâÄ¿¡¿ÎÒ¹úŮҩѧ¼ÒÍÀßÏßÏÒòËÄÊ®¶àÄêǰ·¢ÏÖÁËÇàÝïËØ£¬ÓÐЧ½µµÍű¼²»¼ÕßµÄËÀÍöÂÊ£¬´Ó¶ø»ñµÃ2015Äêŵ±´¶ûÉúÀíѧ»òҽѧ½±£®ÇàÝïËØµÄ·Ö×ӽṹÈçͼËùʾ£¬ÏÂÁÐÓйØÇàÝïËØµÄÓйØËµ·¨ÕýÈ·µÄÊÇ( )
![]()
A£®·Ö×ÓÖÐËùÓÐ̼Ô×Ó¿ÉÄÜ´¦ÓÚÍ¬Ò»Æ½ÃæÉÏ
B£®·Ö×ÓÖк¬Ñõ¹ÙÄÜÍÅÖ»ÓÐõ¥»ù
C£®ÇàÝïËØµÄ»¯Ñ§Ê½ÊÇC15H22O5
D£®ÇàÝïËØÊôÓÚÌþÀàÓлúÎï
²é¿´´ð°¸ºÍ½âÎö>>
¿ÆÄ¿£º¸ßÖл¯Ñ§ À´Ô´£º ÌâÐÍ£º
¡¾ÌâÄ¿¡¿C¡¢P¡¢Cl¡¢FeµÈÔªËØ¼°Æä»¯ºÏÎïÓÐÖØÒªµÄÓ¦Ó㬻شðÏÂÁÐÎÊÌ⣺
(1)CÔ×ӵļ۵ç×Ó¹ìµÀ±í´ïʽΪ__________________ ¡£
(2)CC14·Ö×ӵĿռ乹ÐÍÊÇ______________£¬ÆäÖÐÐÄÔ×Ó²ÉÈ¡______________ÔÓ»¯£¬ÓëCC14»¥ÎªµÈµç×ÓÌåµÄÒ»ÖÖÀë×ÓÊÇ__________________ (ÌîдÀë×Ó·ûºÅ£©¡£
(3)PC13ÊôÓÚ________________·Ö×Ó£¨Ìî¡°¼«ÐÔ¡±»ò¡°·Ç¼«ÐÔ¡±£©¡£
(4)FeO¡¢NiOµÄ¾§Ìå½á¹¹¾ùÓëNaCl¾§Ìå½á¹¹Ïàͬ£¬ÆäÖÐFe2+ÓëNi2+µÄÀë×Ó°ë¾¶·Ö±ðΪ 7.8¡Ál0-2nm¡¢6.9¡Ál0-2nm£¬ÔòÈÛµã FeO_________NiO (Ìî ¡°>¡±¡¢¡° <¡±»ò¡°=¡±£©£¬ÔÒòÊÇ___________________¡£
(5)ÒÑÖªFeCl3µÄ·Ðµã£º319¡æ£¬È۵㣺306¡æ£¬ÔòFeCl3µÄ¾§ÌåÀàÐÍΪ______________¡£
(6)ÒÑÖªFeµ¥ÖÊÓÐÈçͼËùʾµÄÁ½ÖÖ³£¼û¶Ñ»ý·½Ê½£º
![]()
ÆäÖÐÊôÓÚÌåÐÄÁ¢·½ÃܶѻýµÄÊÇ___________(Ìî¡°a¡±»ò¡°b¡±£©£»Èôµ¥ÖÊFe°´a·½Ê½½ôÃܶѻý£¬Ô×Ӱ뾶Ϊrpm£¬NA±íʾ°¢·ü¼ÓµÂÂÞ³£ÊýµÄÖµ£¬Ôòµ¥ÖÊFeµÄÃܶÈΪ________g¡¤cm-3 (ÁгöËãʽ¼´¿É£©¡£
²é¿´´ð°¸ºÍ½âÎö>>
¿ÆÄ¿£º¸ßÖл¯Ñ§ À´Ô´£º ÌâÐÍ£º
¡¾ÌâÄ¿¡¿£¨1£©Ç뽫ÏÂÁÐ5ÖÖÎïÖÊ£ºN2O¡¢FeSO4¡¢Fe(NO3)3¡¢HNO3ºÍFe2(SO4)3·Ö±ðÌîÈëÏÂÃæ¶ÔÓ¦µÄºáÏßÉÏ£¬×é³ÉÒ»¸ö»¯Ñ§·½³Ìʽ²¢Å䯽¡£
________£«________===________£«________£«________£«________H2O
£¨2£©·´Ó¦ÎïÖз¢ÉúÑõ»¯·´Ó¦µÄÎïÖÊΪ________£¬±»»¹ÔµÄÔªËØÊÇ________¡£
£¨3£©·´Ó¦ÖÐ1 molÑõ»¯¼ÁµÃµ½________molµç×Ó¡£
²é¿´´ð°¸ºÍ½âÎö>>
¹ú¼ÊѧУÓÅÑ¡ - Á·Ï°²áÁбí - ÊÔÌâÁбí
ºþ±±Ê¡»¥ÁªÍøÎ¥·¨ºÍ²»Á¼ÐÅÏ¢¾Ù±¨Æ½Ì¨ | ÍøÉÏÓк¦ÐÅÏ¢¾Ù±¨×¨Çø | µçÐÅթƾٱ¨×¨Çø | ÉæÀúÊ·ÐéÎÞÖ÷ÒåÓк¦ÐÅÏ¢¾Ù±¨×¨Çø | ÉæÆóÇÖȨ¾Ù±¨×¨Çø
Î¥·¨ºÍ²»Á¼ÐÅÏ¢¾Ù±¨µç»°£º027-86699610 ¾Ù±¨ÓÊÏ䣺58377363@163.com