精英家教网 > 高中数学 > 题目详情

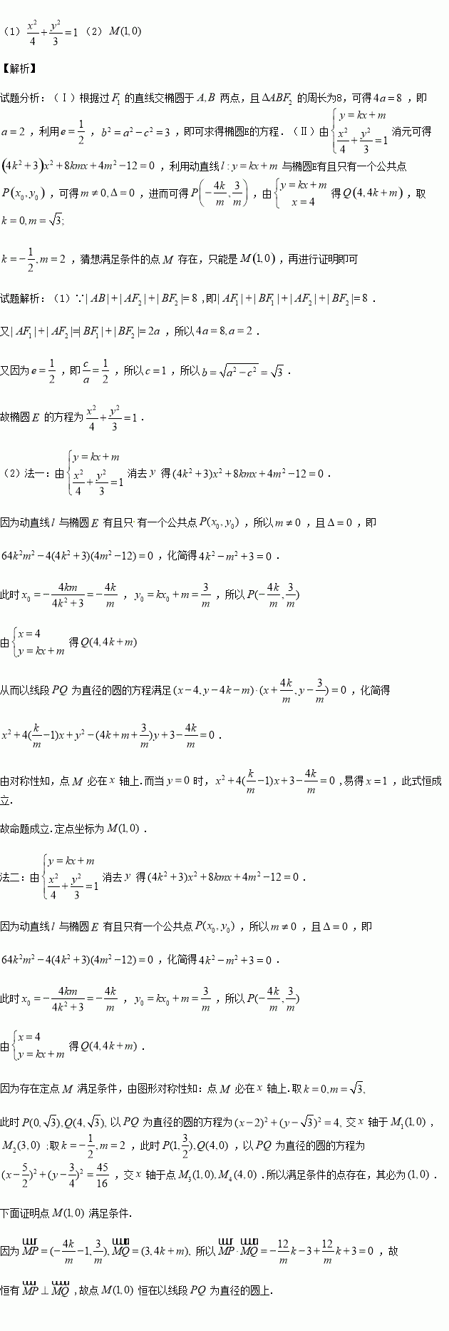
(本题满分10分)

已知椭圆的左焦点为,右焦点为,离心率.过的直线交椭圆于两点,且的周长为.

(1)求椭圆的方程;

(2)设动直线与椭圆有且只有一个公共点,且与直线相交于点.求证:以为直径的圆恒过一定点.并求出点的坐标.

练习册系列答案
相关习题

科目:高中数学 来源:2015-2016学年湖北省高一上学期期中数学试卷(解析版) 题型:选择题

定义在上的偶函数满足,且在时,,若关于的方程上恰有3个不同的实数解,则实数的取值范围为( )

A. B. C. D.

查看答案和解析>>

科目:高中数学 来源:2016届山东省高三第二次诊断性考试文科数学试卷(解析版) 题型:解答题

(本小题满分13分)

已知函数为自然对数的底数

(Ⅰ)求函数的最小值;

(Ⅱ)若对任意的恒成立,求实数的值.

查看答案和解析>>

科目:高中数学 来源:2016届河南省原名校高三上学期第一次联考理科数学试卷(解析版) 题型:填空题

已知函数,给出下列四个命题:

①存在实数,使得函数恰有2个不同的零点;

②存在实数,使得函数恰有4个不同的零点;

③存在实,使得函数恰有5个不同的零点;

④存在实数,使得函数恰有8个不同的零点.

其中真命题的序号是(把你认为正确的序号全写上).

查看答案和解析>>

科目:高中数学 来源:2015-2016学年四川绵阳南山中学高二上期中文科数学试卷(解析版) 题型:解答题

(本小题满分为10分)

已知中心在原点,焦点在轴上的椭圆C的离心率为,且经过点M(1,),过点P(2,1)的直线与椭圆C相交于不同的两点A,B.

(Ⅰ)求椭圆C的方程;

(Ⅱ)是否存在直线,满足?若存在,求出直线的方程;若不存在,请说明理由.

查看答案和解析>>

科目:高中数学 来源:2015-2016学年四川绵阳南山中学高二上期中理科数学试卷(解析版) 题型:选择题

若圆的方程为,直线的方程为,则圆关于直线对称的圆的方程为( )

A、 B、

C、 D、

查看答案和解析>>

科目:高中数学 来源:2015-2016学年湖北省高二上期中文科数学试卷(解析版) 题型:选择题

抛物线的准线方程是 ( )

A. B. C. D.

查看答案和解析>>

科目:高中数学 来源:2015-2016学年陕西省高二上学期期中考试数学试卷(解析版) 题型:选择题

已知等比数列的公比,则等于( )

A. B. C. D.

查看答案和解析>>

科目:高中数学 来源:2015-2016学年广东省普宁市高一上学期期中考试数学试卷(解析版) 题型:选择题

下列各组向量中:① 其中能作为表示它们所在平面内所有向量的基底的是 ( )

A.① B.①③ C.②③ D.①②③

查看答案和解析>>

同步练习册答案