精英家教网 > 高中数学 > 题目详情

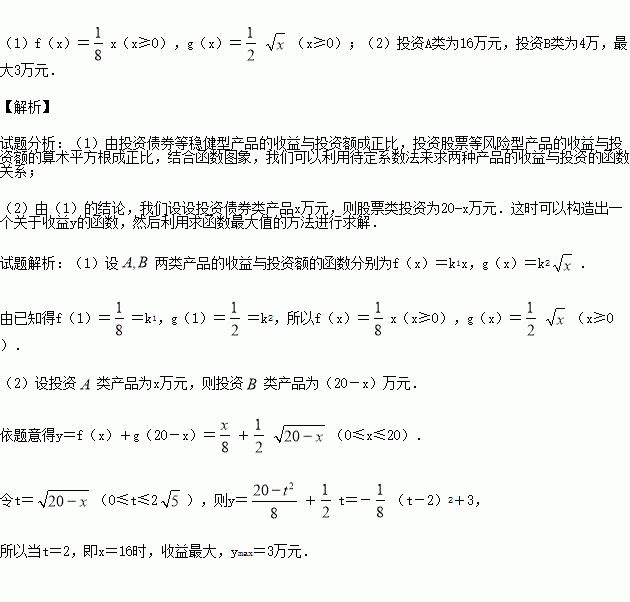
某家庭进行理财投资,根据长期收益率市场预测,投资类产品的收益与投资额成正比,投资类产品的收益与投资额的算术平方根成正比.已知投资1万元时两类产品的收益分别为0.125万元和0.5万元.

(1)分别写出两类产品的收益与投资额的函数关系;

(2)该家庭有20万元资金,全部用于理财投资,问:怎么分配资金能使投资获得最大收益,其最大收益是多少万元?

练习册系列答案
相关习题

科目:高中数学 来源:2015-2016学年湖南衡阳八中高二上第二次月考文科数学卷(解析版) 题型:填空题

甲、乙两下棋,两人下成和棋的概率是,乙获胜的概率是,则甲获胜的概率是________.

查看答案和解析>>

科目:高中数学 来源:2016届甘肃省高三12月月考文科数学试卷(解析版) 题型:解答题

选修4—5:不等式选讲

已知关于的不等式,其解集为

(Ⅰ)求的值;

(Ⅱ)若均为正实数,且满足,求的最小值.

查看答案和解析>>

科目:高中数学 来源:2016届福建省高三上学期半期考试文科数学试卷(解析版) 题型:选择题

设全集,集合,则( )

A.{0} B.{-3,-4} C.{-1,-2} D.

查看答案和解析>>

科目:高中数学 来源:2015-2015学年云南省玉溪市高二上学期期中数学试卷(解析版) 题型:解答题

如图,在三棱锥中,

(Ⅰ)求证:

(Ⅱ)求二面角的正弦值.

查看答案和解析>>

科目:高中数学 来源:2015-2015学年云南省玉溪市高一上学期期中数学试卷(解析版) 题型:选择题

,则( )

A. B.

C. D.

查看答案和解析>>

科目:高中数学 来源:2015-2016学年山东省济宁市兖州区高一上学期期中考试数学试卷(解析版) 题型:解答题

已知是定义在内的增函数,且满足

(Ⅰ)求

(Ⅱ)求不等式的解集.

查看答案和解析>>

科目:高中数学 来源:2016届辽宁省抚顺市高三12月月考文科数学试卷(解析版) 题型:填空题

设数列的前项和满足:,等比数列的前项和为,公比为,且

(1)求数列的通项公式;

(2)求数列的前项和为

查看答案和解析>>

科目:高中数学 来源:2015-2016学年甘肃省高一上期中数学试卷(解析版) 题型:选择题

已知函数,则( )

A.4 B.3 C.2 D.1

查看答案和解析>>

同步练习册答案