精英家教网 > 高中数学 > 题目详情
已知函数f(x)=alnx-ax-3(a∈R)。
(1)讨论函数f(x)的单调性;
(2)若函数y=f(x)的图象在点(2,f(2))处的切线的倾斜角为45°,对任意的t∈[1,2],若函数g(x)=x3+x2[f′(x)+]在区间(t,3)上有最值,求实数m取值范围;
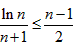
(3)求证:)(n∈N*且n>1)。
解:(1)
当a>0时,f(x)的单调增区间为(0,1],减区间为[1,+∞);
当a<0时,f(x)的单调增区间为[1,+∞),减区间为(0,1];
当a=0时,f(x)不是单调函数;
(2)得a=-2,


∵g(x)在区间(t,3)上总不是单调函数,且g(0)=-2,

由题意知:对于任意的t∈[1,2],g′(t)<0恒成立,
所以,

(3)令a=-1此时,所以f(1)=-2,
由(1)知在(1,+∞)上单调递增,
∴当x∈(1,+∞)时,f(x)>f(1),

,对一切x∈(1,+∞)成立,
,则,即,(n≥2),
练习册系列答案
相关习题

科目:高中数学 来源: 题型:

已知函数f(x)=
a-x2
x
+lnx  (a∈R , x∈[
1
2
 , 2])

(1)当a∈[-2,
1
4
)
时,求f(x)的最大值;
(2)设g(x)=[f(x)-lnx]•x2,k是g(x)图象上不同两点的连线的斜率,否存在实数a,使得k≤1恒成立?若存在,求a的取值范围;若不存在,请说明理由.

查看答案和解析>>

科目:高中数学 来源: 题型:

(2009•海淀区二模)已知函数f(x)=a-2x的图象过原点,则不等式f(x)>
34
的解集为
(-∞,-2)
(-∞,-2)

查看答案和解析>>

科目:高中数学 来源: 题型:

已知函数f(x)=a|x|的图象经过点(1,3),解不等式f(
2x
)>3

查看答案和解析>>

科目:高中数学 来源: 题型:

已知函数f(x)=a•2x+b•3x,其中常数a,b满足a•b≠0
(1)若a•b>0,判断函数f(x)的单调性;
(2)若a=-3b,求f(x+1)>f(x)时的x的取值范围.

查看答案和解析>>

科目:高中数学 来源: 题型:

已知函数f(x)=a-2|x|+1(a≠0),定义函数F(x)=
f(x)   ,  x>0
-f(x) ,    x<0
 给出下列命题:①F(x)=|f(x)|; ②函数F(x)是奇函数;③当a<0时,若mn<0,m+n>0,总有F(m)+F(n)<0成立,其中所有正确命题的序号是
 

查看答案和解析>>

同步练习册答案