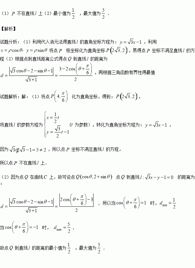
选修4-4:坐标系与参数方程
已知直线
的参数方程为
为参数), 曲线
的参数方程为
为参数).
(1)已知在极坐标系(与直角坐标系
取相同的长度单位, 且以原点
为极点, 以
轴正半轴为及轴) 中, 点
的极坐标为
,判断点
与直线
的位置关系;
(2)设点
是曲线
上的一个动点, 求点
到直线
的距离的最小值与最大值.
科目:高中数学 来源:2015-2016学年广东省高一下第一次月考文科数学试卷(解析版) 题型:解答题
某中学调查了某班全部45名同学参加书法社团和演讲社团的情况,数据如下表:(单位:人)
参加书法社团 | 未参加书法社团 | |
参加演讲社团 |
|
|
未参加演讲社团 |
|
|
(1)从该班随机选1名同学,求该同学至少参加上述一个社团的概率;
(2)在既参加书法社团又参加演讲社团的8名同学中,有5名男同学
,3名女同学
,现从这5名男同学和3名女同学中各随机选1人,求
被选中且
未被选中的概率.
查看答案和解析>>
科目:高中数学 来源:2016届湖南师大附中高三下学期高考模拟三文科数学试卷(解析版) 题型:选择题
已知某几何体的三视图如图所示,则该几何体的体积为( )
![]()
A.
B.8 C.
D.![]()
查看答案和解析>>
科目:高中数学 来源:2016届辽宁省锦州市高三下学期质量检测二文科数学试卷(解析版) 题型:选择题
设函数
是定义在
上的偶函数, 对任意
,都有
,且当
时,
,若在区间
内关于
的方程
恰有三个不同的实数根, 则
的取值范围是( )
A.
B.
C.
D.![]()
查看答案和解析>>
科目:高中数学 来源:2016届辽宁省锦州市高三下学期质量检测二文科数学试卷(解析版) 题型:选择题
某三棱锥的三视图如图所示, 则该三棱锥的各个面中, 最大的面积是( )
A.
B.
C.
D.![]()
查看答案和解析>>
科目:高中数学 来源:2016届辽宁省锦州市高三下学期质量检测二理科数学试卷(解析版) 题型:解答题
某学校高一年级学生某次身体素质体能测试的原始成绩采用百分制, 已知所有这些学生的原始成绩均分布在
内, 发布成绩使用等级制各等级划分标准见下表, 规定:
、
、
三级为合格等级,
为不合格等级.
百分制 |
|
|
|
|
等级 |
|
|
|
|
为了解该校高一年级学生身体素质情况, 从中抽取了
名学生的原始成绩作为样本进行统计, 按照
的分组作出频率分布直方图如图
所示, 样本中分数在
分及以上的所有数据的茎叶图如图
所示.
![]()
(1)求
和频率分布直方图中的
的值;
(2)根据样本估计总体的思想,以事件发生的频率作为相应事件发生的概率,若在该校高一学生任选
人, 求至少有
人成绩是合格等级的概率;
(3) 在选取的样本中, 从
、
两个等级的学生中随机抽取了
名学生进行调研, 记
表示所抽取的
名学生中为
等级的学生人数, 求随机变量
的分布列及数学期望.
查看答案和解析>>
科目:高中数学 来源:2016届辽宁省锦州市高三下学期质量检测二理科数学试卷(解析版) 题型:选择题
设函数
是定义在
上的偶函数, 对任意
,都有
,且当
时,
,若在区间
内关于
的方程
恰有三个不同的实数根, 则
的取值范围是( )
A.
B.
C.
D.![]()
查看答案和解析>>
科目:高中数学 来源:2016届河南省洛阳市高三考前综合练习五文科数学试卷(解析版) 题型:解答题
已知
是矩形,
平面
,
,
分别是
的中点.
![]()
(1)求证:平面
平面
;
(2)求点
到平面
的距离.
查看答案和解析>>
湖北省互联网违法和不良信息举报平台 | 网上有害信息举报专区 | 电信诈骗举报专区 | 涉历史虚无主义有害信息举报专区 | 涉企侵权举报专区
违法和不良信息举报电话:027-86699610 举报邮箱:58377363@163.com