精英家教网 > 高中数学 > 题目详情

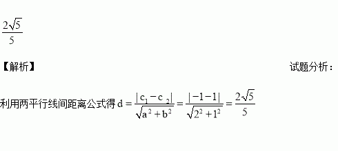
已知平行直线,则的距离_______________.

练习册系列答案
相关习题

科目:高中数学 来源:2015-2016学年湖南长郡中学高一上第三次检测数学试卷(解析版) 题型:选择题

已知,且,则的夹角为( )

A. B. C. D.

查看答案和解析>>

科目:高中数学 来源:2016年全国普通高等学校招生统一考试理科数学(上海卷参考版) 题型:填空题

已知的三边长分别为3,5,7,则该三角形的外接圆半径等于_________.

查看答案和解析>>

科目:高中数学 来源:2016年全国普通高等学校招生统一考试文科数学(上海卷参考版) 题型:选择题

,则“”是“”的( )

(A)充分非必要条件 (B)必要非充分条件

(C)充要条件 (D)既非充分也非必要条件

查看答案和解析>>

科目:高中数学 来源:2016年全国普通高等学校招生统一考试文科数学(上海卷参考版) 题型:填空题

方程在区间上的解为___________.

查看答案和解析>>

科目:高中数学 来源:2016年全国普通高等学校招生统一考试理科数学(山东卷参考版) 题型:解答题

甲、乙两人组成“星队”参加猜成语活动,每轮活动由甲、乙各猜一个成语,在一轮活动中,如果两人都猜对,则“星队”得3分;如果只有一个人猜对,则“星队”得1分;如果两人都没猜对,则“星队”得0分。已知甲每轮猜对的概率是,乙每轮猜对的概率是;每轮活动中甲、乙猜对与否互不影响。各轮结果亦互不影响。假设“星队”参加两轮活动,求:

(Ⅰ)“星队”至少猜对3个成语的概率;

(Ⅱ)“星队”两轮得分之和为X的分布列和数学期望EX.

查看答案和解析>>

科目:高中数学 来源:2016年全国普通高等学校招生统一考试理科数学(山东卷参考版) 题型:填空题

若(ax2+)3的展开式中x3的系数是—80,则实数a=_______.

查看答案和解析>>

科目:高中数学 来源:2016年全国普通高等学校招生统一考试文科数学(山东卷参考版) 题型:解答题

某儿童乐园在“六一”儿童节退出了一项趣味活动.参加活动的儿童需转动如图所示的转盘两次,每次转动后,待转盘停止转动时,记录指针所指区域中的数.设两次记录的数分别为x,y.奖励规则如下:

①若,则奖励玩具一个;

②若,则奖励水杯一个;

③其余情况奖励饮料一瓶.

假设转盘质地均匀,四个区域划分均匀.小亮准备参加此项活动.

(Ⅰ)求小亮获得玩具的概率;

(Ⅱ)请比较小亮获得水杯与获得饮料的概率的大小,并说明理由.

查看答案和解析>>

科目:高中数学 来源:2016年全国普通高等学校招生统一考试文科数学(四川卷参考版) 题型:解答题

如图,在四棱锥P-ABCD中,PA⊥CD,AD∥BC,∠ADC=∠PAB=90°,BC=CD=½AD。

(Ⅰ)在平面PAD内找一点M,使得直线CM∥平面PAB,并说明理由;

(Ⅱ)证明:平面PAB⊥平面PBD。

查看答案和解析>>

同步练习册答案