精英家教网 > 高中数学 > 题目详情

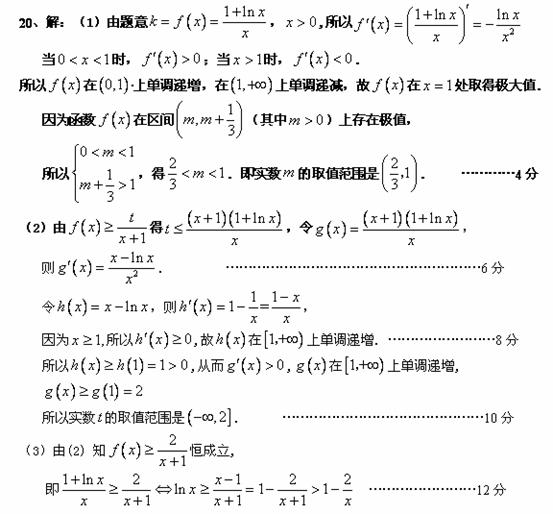
已知为函数图象上一点,O为坐标原点,记直线的斜率

(1)若函数在区间上存在极值,求实数m的取值范围;

(2)当 时,不等式恒成立,求实数的取值范围;

(3)求证:


 

,……………………14分

所以,……,

将以上个式子相加得:

.    


练习册系列答案
相关习题

科目:高中数学 来源: 题型:


是直线,为两个不同的平面,下列说法正确的是(   )

A.若,则             B.若,则

C.若,则          D.若,则

查看答案和解析>>

科目:高中数学 来源: 题型:


已知函数

的值;

,求的值.

查看答案和解析>>

科目:高中数学 来源: 题型:


函数的定义域为             .

查看答案和解析>>

科目:高中数学 来源: 题型:


若复数满足(其中为虚数单位), 则的最大值为          .

查看答案和解析>>

科目:高中数学 来源: 题型:


复数范围内,方程的解集为         

查看答案和解析>>

科目:高中数学 来源: 题型:


,函数在区间上的最大值与最小值之差为,则         .

查看答案和解析>>

科目:高中数学 来源: 题型:


如果复数是纯虚数,那么实数=            .

查看答案和解析>>

科目:高中数学 来源: 题型:


已知函数的图象与函数的图象恰有两个交点,

则实数的取值范围是      

查看答案和解析>>

同步练习册答案