精英家教网 > 高中数学 > 题目详情

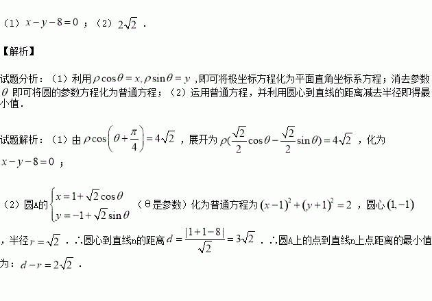
【选修4-2:极坐标与参数方程】已知直线n的极坐标是,圆A的参数方程是(θ是参数)

(1)将直线n的极坐标方程化为普通方程;

(2)求圆A上的点到直线n上点距离的最小值.

练习册系列答案
相关习题

科目:高中数学 来源:2015-2016学年浙江省高一上学期期中数学试卷(解析版) 题型:解答题

已知函数

(1)求的最小值(用表示);

(2)关于的方程有解,求实数的取值范围.

查看答案和解析>>

科目:高中数学 来源:2016届四川省成都市高三11月阶段测试理科数学试卷(解析版) 题型:解答题

已知数列的前n项和为,若,且

(1)求数列的通项公式;

(2)求数列的前n项和

查看答案和解析>>

科目:高中数学 来源:2016届甘肃省高三12月月考文科数学试卷(解析版) 题型:解答题

选修4-4:坐标系与参数方程

已知平面直角坐标系中,以为极点,轴的正半轴为极轴,建立极坐标系,曲线方程为 的参数方程为为参数).

(Ⅰ)写出曲线的直角坐标方程和的普通方程;

(Ⅱ)设点为曲线上的任意一点,求点 到曲线距离的取值范围.

查看答案和解析>>

科目:高中数学 来源:2016届甘肃省高三12月月考理科数学试卷(解析版) 题型:解答题

如图,在四棱锥中,底面为直角梯形,AD‖BC, ,平面⊥底面,Q为AD的中点,M是棱PC上的点,PA=PD=AD=2,BC=1,CD=

(Ⅰ)求证:平面PQB⊥平面PAD;

(Ⅱ)若二面角M-BQ-C为,设PM=tMC,试确定t的值.

查看答案和解析>>

科目:高中数学 来源:2016届福建省高三上学期半期考试文科数学试卷(解析版) 题型:选择题

设全集,集合,则( )

A.{0} B.{-3,-4} C.{-1,-2} D.

查看答案和解析>>

科目:高中数学 来源:2015-2015学年云南省玉溪市高二上学期期中数学试卷(解析版) 题型:解答题

从一批苹果中,随机抽取50个,其重量(单位:克)的频数分布表

如下:

分组(重量)

频数(个)

5

10

20

15

(1)根据频数分布表计算苹果的重量在的频率;

(2)用分层抽样的方法从重量在的苹果中共抽取4个,其中重量在的有几个?

(3)在(2)中抽出的4个苹果中,任取2个,求重量在中各有1个的概率.

查看答案和解析>>

科目:高中数学 来源:2015-2016学年山东省济宁市兖州区高一上学期期中考试数学试卷(解析版) 题型:解答题

已知是定义在内的增函数,且满足

(Ⅰ)求

(Ⅱ)求不等式的解集.

查看答案和解析>>

科目:高中数学 来源:2016届福建省高三上学期期中文科数学试卷(解析版) 题型:选择题

若点满足线性约束条件,点为坐标原点,则的最大值为( )

A.0 B.3 C.-6 D.6

查看答案和解析>>

同步练习册答案