精英家教网 > 高中数学 > 题目详情

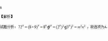
已知,则等于( )

A. B.

C. D.

练习册系列答案
相关习题

科目:高中数学 来源: 题型:解答题

17.如图,在平面直角坐标系xoy中,椭圆$\frac{{x}^{2}}{{a}^{2}}$+$\frac{{y}^{2}}{{b}^{2}}$=1(a>b>0)的离心率为$\frac{\sqrt{3}}{2}$,过椭圆右焦点F作两条互相垂直的弦AB与CD.当直线AB斜率为0时,|AB|+|CD|=5.
(1)求椭圆的方程;
(2)求由A,B,C,D四点构成的四边形的面积的取值范围.

查看答案和解析>>

科目:高中数学 来源:2017届河南商丘第一高级中学年高三上理开学摸底数学试卷(解析版) 题型:填空题

的展开式的常数项为_________________.

查看答案和解析>>

科目:高中数学 来源:2016-2017学年河北邢台市高一上学期月考一数学试卷(解析版) 题型:填空题

已知函数,若均满足不等式,则的最大值为__________.

查看答案和解析>>

科目:高中数学 来源:2016-2017学年河北邢台市高一上学期月考一数学试卷(解析版) 题型:选择题

,且,则等于( )

A. B.-2

C.-3 D.9

查看答案和解析>>

科目:高中数学 来源:2016-2017学年河北邢台市高一上学期月考一数学试卷(解析版) 题型:选择题

函数的定义域为( )

A. B.

C. D.

查看答案和解析>>

科目:高中数学 来源: 题型:解答题

6.已知函数f(x)=ax-bex,g(x)=x2+ax(a,b∈R,e为自然对数的底)
(1)若对任意的x∈[1,3],不等式f(x)≤g(x)恒成立,求实数b的取值范围
(2)试判断函数f(x)的单调性
(3)当a=1时,若函数f(x)有两个不同零点x1,x2,求证:x1+x2>2.

查看答案和解析>>

科目:高中数学 来源: 题型:选择题

3.设函数$f(x)=\left\{{\begin{array}{l}{ln(-x){,_{\;}}x<0}\\{-lnx,{{,}_{\;}}x>0}\end{array}}\right.$若f(m)>f(-m),则实数m的取值范围是(  )
A.(-1,0)∪(0,1)B..(-∞,-1)∪(0,1)C.(-1,0)∪(1,+∞)D.(-1,1]

查看答案和解析>>

科目:高中数学 来源: 题型:选择题

4.在△ABC中,角A,B,C的对边分别是a,b,c,若a2-b2=$\sqrt{3}$bc,sinC=2$\sqrt{3}$sinB,则A=(  )
A.$\frac{π}{6}$B.$\frac{π}{3}$C.$\frac{2π}{3}$D.$\frac{5π}{6}$

查看答案和解析>>

同步练习册答案