精英家教网 > 高中数学 > 题目详情
已知函数f(x)=ax+b,(a>0,a≠1).
(1)若f(x)的图象如图(1)所示,求a,b的值;
(2)若f(x)的图象如图(2)所示,求a,b的取值范围.
(3)在(1)中,若|f(x)|=m有且仅有一个实数解,求出m的范围.

【答案】分析:(1)由图象知,f(0)=-2,f(2)=0 解方程组求出a 和 b的值.
(2)f(x)单调递减,结合指数函数的性质得出0<a<1,又f(0)<0,从而求出b的取值范围.
(3)由(1)得:函数f(x)=(x-3,在同一个坐标系中,画出函数y=|f(x)|和y=m的图象,观察图象可知,当m=0或m≥3时,两图象有一个交点,从而得出m的范围.
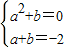
解答:解:(1)f(x)的图象过点(2,0),(0,-2),
所以
解得;                  …(4分)
(2)f(x)单调递减,所以0<a<1,又f(0)<0,
即a+b<0,所以b<-1.          …(9分)
(3)由(1)得:函数f(x)=(x-3,
在同一个坐标系中,画出函数y=|f(x)|和y=m的图象,
观察图象可知,当m=0或m≥3时,两图象有一个交点,
若|f(x)|=m有且仅有一个实数解,m的范围是:m=0或m≥3…(14分)
点评:本题考查用待定系数法求函数解析式,体现了数形结合的数学思想.解答的关键是利用待定系数法列出方程或不等式求得a,b的值或范围.
练习册系列答案
相关习题

科目:高中数学 来源: 题型:

已知函数f(x)=
a-x2
x
+lnx  (a∈R , x∈[
1
2
 , 2])

(1)当a∈[-2,
1
4
)
时,求f(x)的最大值;
(2)设g(x)=[f(x)-lnx]•x2,k是g(x)图象上不同两点的连线的斜率,否存在实数a,使得k≤1恒成立?若存在,求a的取值范围;若不存在,请说明理由.

查看答案和解析>>

科目:高中数学 来源: 题型:

(2009•海淀区二模)已知函数f(x)=a-2x的图象过原点,则不等式f(x)>
34
的解集为
(-∞,-2)
(-∞,-2)

查看答案和解析>>

科目:高中数学 来源: 题型:

已知函数f(x)=a|x|的图象经过点(1,3),解不等式f(
2x
)>3

查看答案和解析>>

科目:高中数学 来源: 题型:

已知函数f(x)=a•2x+b•3x,其中常数a,b满足a•b≠0
(1)若a•b>0,判断函数f(x)的单调性;
(2)若a=-3b,求f(x+1)>f(x)时的x的取值范围.

查看答案和解析>>

科目:高中数学 来源: 题型:

已知函数f(x)=a-2|x|+1(a≠0),定义函数F(x)=
f(x)   ,  x>0
-f(x) ,    x<0
 给出下列命题:①F(x)=|f(x)|; ②函数F(x)是奇函数;③当a<0时,若mn<0,m+n>0,总有F(m)+F(n)<0成立,其中所有正确命题的序号是
 

查看答案和解析>>

同步练习册答案