精英家教网 > 高中数学 > 题目详情

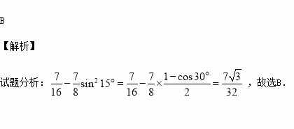
的值为( )

A. B. C. D.

练习册系列答案
相关习题

科目:高中数学 来源:2015-2016学年辽宁省协作校高二下期末数学(文)试卷(解析版) 题型:选择题

已知,函数满足对任意实数,都有成立,则的取值范围是 ( )

A. B. C. D.

查看答案和解析>>

科目:高中数学 来源:2015-2016学年湖南娄底市高一下学期期末数学试卷(解析版) 题型:选择题

已知函数,则实数的值等于()

A.2 B.-2 C. D.

查看答案和解析>>

科目:高中数学 来源:2016届陕西省高三高考全真模拟(五)考试数学(文)试卷(解析版) 题型:填空题

已知是两条不同的直线, 是两个不同的平面,有下列个命题:

①若,且,则;②若,且,则

③若,且,则;④若,且,则

其中真命题的序号是____________.(填上你认为正确的所有命题的序号)

查看答案和解析>>

科目:高中数学 来源:2016届陕西省高三高考全真模拟(五)考试数学(文)试卷(解析版) 题型:选择题

海面上有三个灯塔,,从视角,从视角,则( ).(表示海里,).

A. B. C. D.

查看答案和解析>>

科目:高中数学 来源:2016届陕西省高三高考全真模拟(五)考试数学(理)试卷(解析版) 题型:解答题

已知函数,其中

(1)当时,求证:时,

(2)试讨论函数的零点个数.

查看答案和解析>>

科目:高中数学 来源:2016届陕西省高三高考全真模拟(五)考试数学(理)试卷(解析版) 题型:填空题

定义在上的函数满足,当时,有成立;若,则大小关系为

查看答案和解析>>

科目:高中数学 来源:2016届山西省高三高考考前质量检测考试(三)数学(文)试卷(解析版) 题型:解答题

设函数

(Ⅰ)当时,求曲线在点处的切线方程;

(Ⅱ)若对任意恒成立,求实数的取值范围.

查看答案和解析>>

科目:高中数学 来源:2016届山西省高三高考考前质量检测考试(三)数学(理)试卷(解析版) 题型:选择题

为双曲线的渐近线位于第一象限上的一点,若点到该双曲线左焦点的距离为,则点到其右焦点的距离为( )

A. B. C. D.

查看答案和解析>>

同步练习册答案